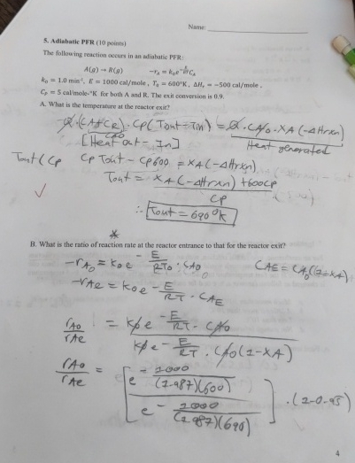
Question: Nam 5 . Adiahatic PFR ( 1 0 points ) The following reaction oscurs in an afiabatic PFR: A ( g ) R ( g
Nam
Adiahatic PFR points
The following reaction oscurs in an afiabatic PFR:
ole,ole.
ole for both A and The exit coaversion
A What is the temperantere at the reactor exir?
Hent genated
Tont
Tait Arren
: Tout
B Whas is the ratio of raction nate at the reactore entrance to that for the reactor exit?
Part A is correct but rhthe answer to B is and I cant get the right answer.
Step by Step Solution
There are 3 Steps involved in it
1 Expert Approved Answer
Step: 1 Unlock
Question Has Been Solved by an Expert!
Get step-by-step solutions from verified subject matter experts
Step: 2 Unlock
Step: 3 Unlock
