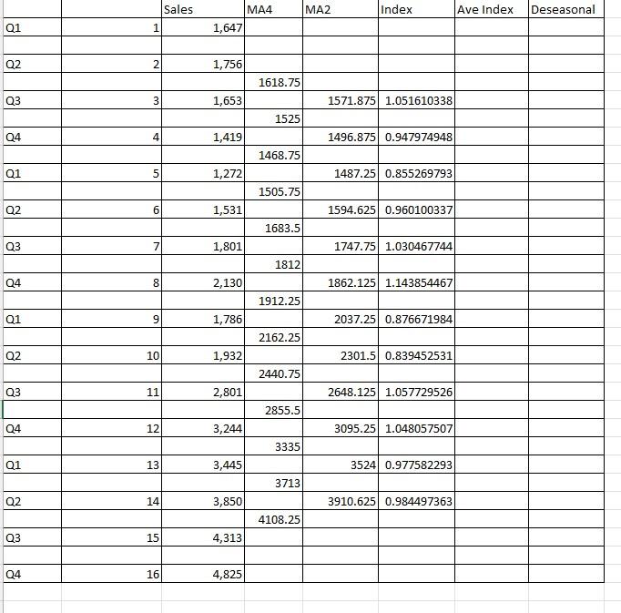
Question: Need help double-checking if this is correct and trying to find the Ave Index and Deseasonal. Sales MA4 MA2 Index Ave Index Deseasonal Q1 1
Need help double-checking if this is correct and trying to find the Ave Index and Deseasonal.

Step by Step Solution
There are 3 Steps involved in it
1 Expert Approved Answer
Step: 1 Unlock
Question Has Been Solved by an Expert!
Get step-by-step solutions from verified subject matter experts
Step: 2 Unlock
Step: 3 Unlock
