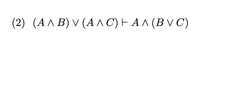
Question: Please answer this question in the format of the sample answer on the image. (2) () () (BVC) (3) F(A + B) + (-B +


Please answer this question in the format of the sample answer on the image.
(2) () () (BVC) (3) F(A + B) + (-B + -A) sample answer +E [A]3 (A B] B [-B] -E I + 1,3 - -1,2 -B + A + 1,1 (A + B) + (-B + -A) (2) () () (BVC) (3) F(A + B) + (-B + -A) sample answer +E [A]3 (A B] B [-B] -E I + 1,3 - -1,2 -B + A + 1,1 (A + B) + (-B + -A)
Step by Step Solution
There are 3 Steps involved in it
1 Expert Approved Answer
Step: 1 Unlock
Question Has Been Solved by an Expert!
Get step-by-step solutions from verified subject matter experts
Step: 2 Unlock
Step: 3 Unlock
