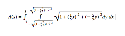
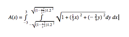
Question: Please help me solve this integral. 3 )1.2 2 AS)= -3 VI+(ex) '+ (- zy) dy dx V(1-$)1.2 2 (1 iy) 2dy dxl

Please help me solve this integral.

3 )1.2 2 AS)= -3 VI+(ex) '+ (- zy) dy dx V(1-$)1.2 2
(1 iy) 2dy dxl
Step by Step Solution
There are 3 Steps involved in it
Get step-by-step solutions from verified subject matter experts
