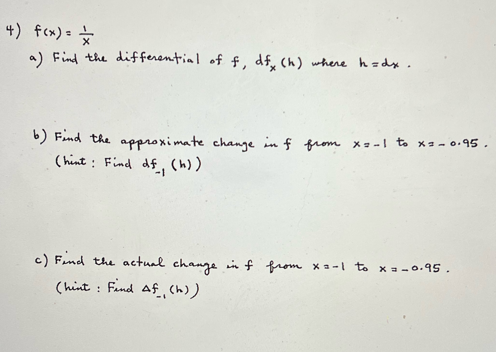
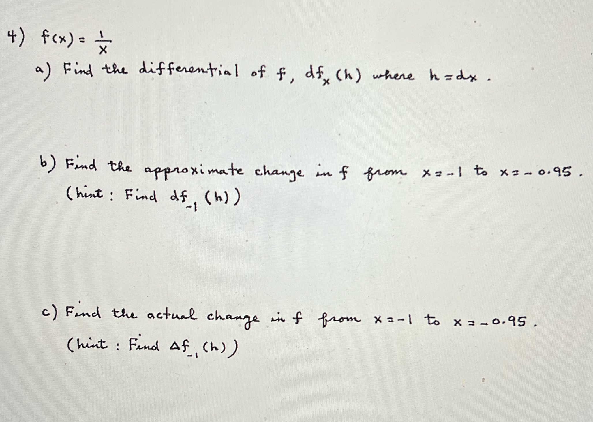
Question: Please help with practice test. Need help on 4a b and c. 4 ) f ( x ) = * a ) Find the differential

Please help with practice test. Need help on 4a b and c.

4 ) f ( x ) = * a ) Find the differential of f, df (h) where h=dx. b) Find the approximate change in f from x = -1 to x=- 0.95. (hint : Find of. (h) ) ( ) Find the actual change in f from x 2-1 to x =_0.95. ( hint : Fund of, (h) )
Step by Step Solution
There are 3 Steps involved in it
Get step-by-step solutions from verified subject matter experts
