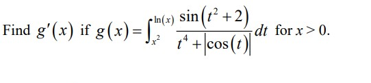
Question: Please show all work and explain steps clearly. TY In(x) Sin (12 + 2 Find g'(x ) if g ( x) = dt for x

Please show all work and explain steps clearly. TY

In(x) Sin (12 + 2 Find g'(x ) if g ( x) = dt for x > 0. 4 + COS
Step by Step Solution
There are 3 Steps involved in it
Get step-by-step solutions from verified subject matter experts
