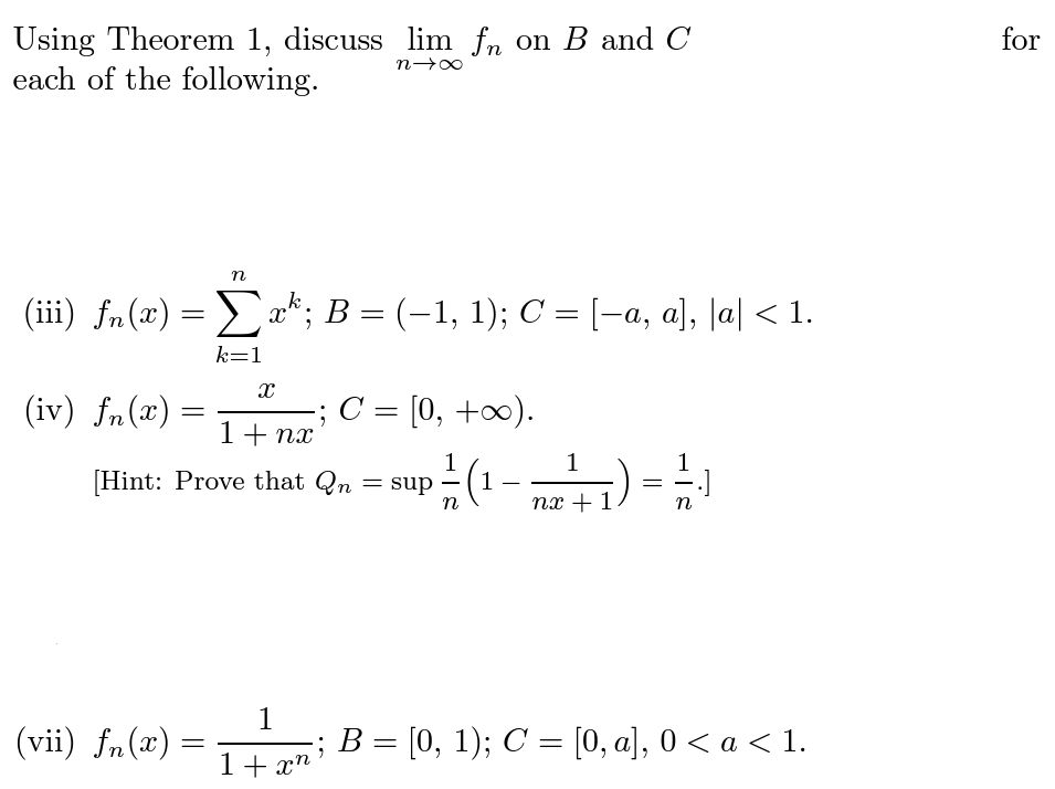
Question: Please show all work, step by step, written and explained as neatly as possible. Thank you so much!! Directions: Using Theorem 1, discuss lim fn
Please show all work, step by step, written and explained as neatly as possible. Thank you so much!!
Directions:


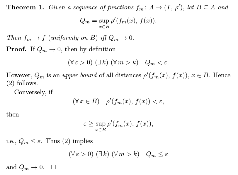
Using Theorem 1, discuss lim fn on B and C for n-too each of the following. n (iii) fn(ac) = xk; B = (-1, 1); C = [-a, a], la| my ( 4 ( ( 20 ) f '(a) fd (amxA) then E > sup p' (fm(x), f(x)), IEB i.e., Qm
Step by Step Solution
There are 3 Steps involved in it
Get step-by-step solutions from verified subject matter experts
