Question: please show the matlab code A continuous stirred tank reactor in which the first-order reaction AB takes place, is represented by: dtdCAdtdT=Zexp(RTEa)CA+CAiCA=c(H)Zexp(RTEa)CA+TiT+cVQ Parameter values of
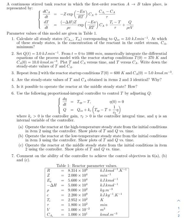
A continuous stirred tank reactor in which the first-order reaction AB takes place, is represented by: dtdCAdtdT=Zexp(RTEa)CA+CAiCA=c(H)Zexp(RTEa)CA+TiT+cVQ Parameter values of this model are given in Table 1. 1. Calculate all steady states (CA,,Tss) corresponding to Qss=3.0kJ.min1. At which of these steady states, is the concentration of the reactant in the outlet stream, CA, minimum? 2. Set Q(t)=3.0kJmin1. From t=0 to 1000min, numerically integrate the differential equations of the process model with the reactor startup conditions T(0)=370K and CA(0)=10.0kmol.m3. Plot T and CA versus time, and T versus CA. Write down the steady-state values of T and CA. 3. Repeat item 2 with the reactor startup conditions T(0)=600K and CA(0)=5.0kmol.m3. 4. Are the steady-state values of T and CA obtained in items 2 and 3 identical? Why? 5. Is it possible to operate the reactor at the middle steady state? How? 6. Use the following proportional-integral controller to control T by adjusting Q : {dtd=TspT,(0)=0Q=Qss+kc(TspT+L1) where kc>0 is the controller gain, I>0 is the controller integral time, and is an internal variable of the controller. (a) Operate the reactor at the high-temperature steady state from the initial conditions in item 2 using the controller. Show plots of T and Q vs. time. (b) Operate the reactor at the low-temperature steady state from the initial conditions in item 3 using the controller. Show plots of T and Q vs. time. (c) Operate the reactor at the middle steady state from the initial conditions in item 2 using the controller. Show plots of T and Q vs. time. 7. Comment on the ability of the controller to achieve the control objectives in 6(a), (b) and (c). A continuous stirred tank reactor in which the first-order reaction AB takes place, is represented by: dtdCAdtdT=Zexp(RTEa)CA+CAiCA=c(H)Zexp(RTEa)CA+TiT+cVQ Parameter values of this model are given in Table 1. 1. Calculate all steady states (CA,,Tss) corresponding to Qss=3.0kJ.min1. At which of these steady states, is the concentration of the reactant in the outlet stream, CA, minimum? 2. Set Q(t)=3.0kJmin1. From t=0 to 1000min, numerically integrate the differential equations of the process model with the reactor startup conditions T(0)=370K and CA(0)=10.0kmol.m3. Plot T and CA versus time, and T versus CA. Write down the steady-state values of T and CA. 3. Repeat item 2 with the reactor startup conditions T(0)=600K and CA(0)=5.0kmol.m3. 4. Are the steady-state values of T and CA obtained in items 2 and 3 identical? Why? 5. Is it possible to operate the reactor at the middle steady state? How? 6. Use the following proportional-integral controller to control T by adjusting Q : {dtd=TspT,(0)=0Q=Qss+kc(TspT+L1) where kc>0 is the controller gain, I>0 is the controller integral time, and is an internal variable of the controller. (a) Operate the reactor at the high-temperature steady state from the initial conditions in item 2 using the controller. Show plots of T and Q vs. time. (b) Operate the reactor at the low-temperature steady state from the initial conditions in item 3 using the controller. Show plots of T and Q vs. time. (c) Operate the reactor at the middle steady state from the initial conditions in item 2 using the controller. Show plots of T and Q vs. time. 7. Comment on the ability of the controller to achieve the control objectives in 6(a), (b) and (c)
Step by Step Solution
There are 3 Steps involved in it
Get step-by-step solutions from verified subject matter experts
