Question: Please show work for all 4 images and please no cursive and leave as much detail as possible so I can get a full understanding
Please show work for all 4 images and please no cursive and leave as much detail as possible so I can get a full understanding if something is not clear let me know



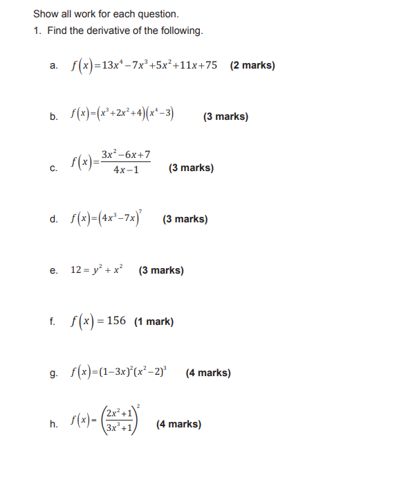
![for 112:) -[3:cE3r'ii+4)E {3 marks] 3. Find the third derivative of f(x)=12x\"3x='+4x5+5x2+a](https://s3.amazonaws.com/si.experts.images/answers/2024/07/66879c007afd0_32866879c00594a2.jpg)
\f2. Evaluate f"(2) for 112:) -[3:cE3r'ii+4)E {3 marks] 3. Find the third derivative of f(x)=12x\"3x='+4x5+5x2+a . {3 marks} 4. Find the equation of the tangent line to the curve y: x2 2x+3 at the point {2.3}. [2 marks] 5. Find the point on the parabola y=x2+3x+4 where the slope of the tangent line is 5. [2 marks} 6. Give one example of a rate that is decreasing and one example of a rate that is increasing. [2 marks} T. When a vehicle is said to be travelling at -35 kah, what does this in'r'er'iII [2 marks} dV 3. If ir' represents the volume of an object. what does E represent? {2 marks] Q. A consthction worker accidentlj].r drops a hammer from a height of 90 m while working on the roof of a new apartment building. The height. a. in metres1 of the ham mer aftert seconds can be modelled by the function s{t) = at] 4.93, t 3;. {1. a. Determine the velocity at 1 s and 4 s. {1 mark] b. When will the hammer hit the ground? [1 mark] c. Determine the impact velocityr of the hammer. {1 mark] 1t]. The motion of a particle is described by the position function 3(3) =2tl_15t2+33+1?, t :u-t] . where r is measured in seconds and 5(1) in metres. a. When is the particle at rest? {2 marks] b. When is the velocity[ positive? {2 marks] o] Draw a diagram to illustrate the motion of the particle in the rst 10 seconds. [1 mark] d] Find the total distance traveled in the rst 1i] seconds. {'I mark] 11. A smwball melts so that its surface area decreases at a rate of (15 crnzimin. Find the rate atwhich the radius decreases when the radius is 4 cm. [Harri] {4 marks] 12. Brent is driving west at El] mm and Aaron is driving south at m krnt'h. Both cars are approaching the intersection of the two roads. At what rate is the distance between the cars decreasing when Brent's car is 0.4 km and Aaron's is 0.3 km from the intersection? [4 marks] 13. A water tank at a ltration plant is built in the shape of an inverted cone with height 5.2 rn and diameter 5 rn at the top. Itillater is being pumped into the tank at a rate of 1.2 m3t'rnin. Find the rate at which the water level is rising when there is arr in3 of water. [4 marks] 14. Fcrthe function f X)=HX3+bX25X+9, determine the values of c and b so that f{_1)=12 and f'[_1)=3. {4 marks] 15. Determine the equations of two lines that pass through the point (-1,-3] and are tangent tothe graph of y=x2+1. [3 marks] 16. Two particles have positions at time tgiven by sl =4: -r2 and $2 = 512 43. Find the velocities v1 and v2 at the instant the accelerations of the two particles are equal. [3 marks]
Step by Step Solution
There are 3 Steps involved in it
Get step-by-step solutions from verified subject matter experts
