Question: PLEASE SOLVE ASAP! NO NEED FOR EXPLANATION IF TIME CONSUMING 1. PLEASE EVALUATE THE FOLLOWING: A) Given lim f(x) = 8 and lim g(x) =
PLEASE SOLVE ASAP! NO NEED FOR EXPLANATION IF TIME CONSUMING
1. PLEASE EVALUATE THE FOLLOWING:
A)










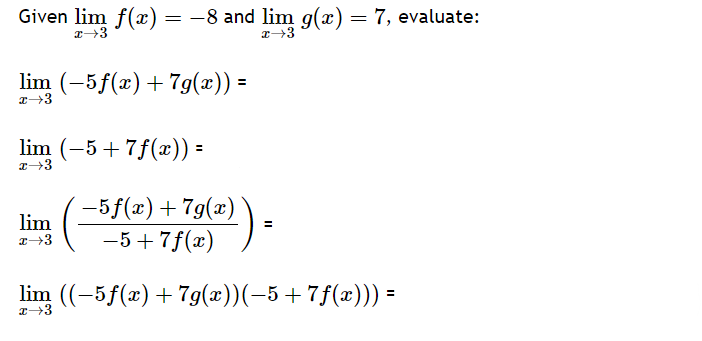
Given lim f(x) = 8 and lim g(x) = 7, evaluate: x+3 lim (-5f(x)+7g(x)) = x+3 lim (-5+7f(x)) = x+3 x+3 5f(x)+7g(x) lim x+3 -5+7f(x) lim ((-5f(x)+7g(x))(5+7f(x))) = x+3
Step by Step Solution
There are 3 Steps involved in it
Get step-by-step solutions from verified subject matter experts
