Question: Please write a python script! 1. f(x)=1f(x)=0 2. f(x)=xf(x)=1 3. f(x)=x2f(x)=2x 4. f(x)=xnf(x)=nxn1, for n=3 5. f(x)=xf(x)=1/(2x) 6. f(x)=exf(x)=ex 7. f(x)=2xf(x)=(loga)ax 8. f(x)=logxf(x)=1/x 9. f(x)=sinxf(x)=cos(x)
Please write a python script!
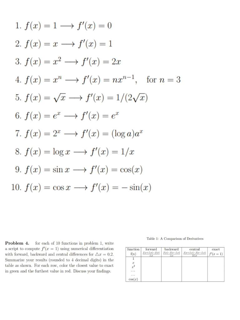
1. f(x)=1f(x)=0 2. f(x)=xf(x)=1 3. f(x)=x2f(x)=2x 4. f(x)=xnf(x)=nxn1, for n=3 5. f(x)=xf(x)=1/(2x) 6. f(x)=exf(x)=ex 7. f(x)=2xf(x)=(loga)ax 8. f(x)=logxf(x)=1/x 9. f(x)=sinxf(x)=cos(x) 10. f(x)=cosxf(x)=sin(x) Problem 4. for each of 10 functions in problem 1 , write a script to compute f(x=1) using numerical differentiation with forward, backward and central differences for x=0.2. Summarize your results (rounded to 4 decimal digits) in the table as shown. For each row, color the closest value to exact in green and the furthest value in red. Discuss your findings
Step by Step Solution
There are 3 Steps involved in it
Get step-by-step solutions from verified subject matter experts
