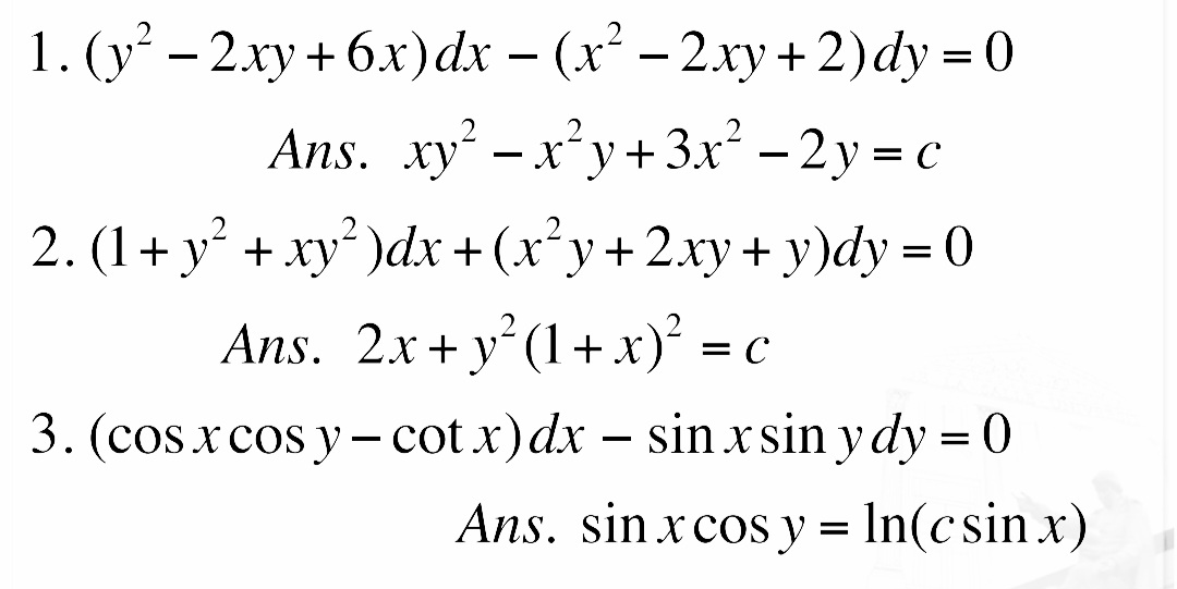
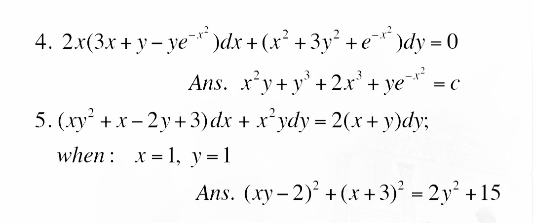
Question: Pleasw use this method to solve for the following problems. TOPIC: EXACT DIFFERENTIAL EQUATION fffff
Pleasw use this method to solve for the following problems.
TOPIC: EXACT DIFFERENTIAL EQUATION





\f\f\f\f\f
Step by Step Solution
There are 3 Steps involved in it
Get step-by-step solutions from verified subject matter experts
