Question: Problem 3: Socially Optimal Forest Rotations with Non-timber values Now suppose that the forest that you are considering to plant provides a non-timber value of
Problem 3: Socially Optimal Forest Rotations with Non-timber values
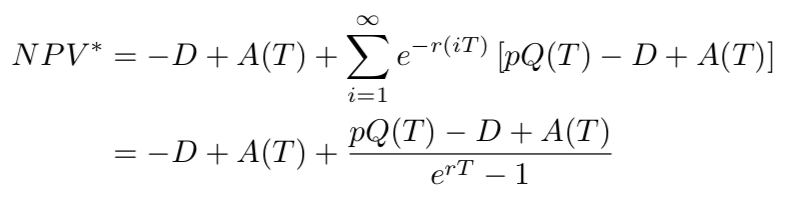
Now suppose that the forest that you are considering to plant provides a non-timber value of sequestering carbon. Assume that the per-period value of carbon sequestration depends linearly on the volume of the forest and is equal to a(t) = vt. The stream of discounted non-timber values from t = 0 to t = T is thus:


Step by Step Solution
There are 3 Steps involved in it
Get step-by-step solutions from verified subject matter experts
