Question: Problem about interest Lab 3A This is a critical thinking exercise. The purpose of this assignment is to give you more experience in completing an
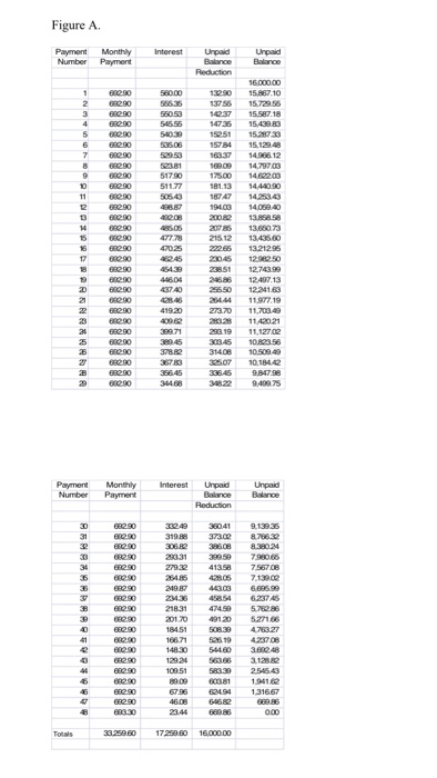
Lab 3A This is a critical thinking exercise. The purpose of this assignment is to give you more experience in completing an amortization schedule so that the next time you purchase something, you will be familiar with this process and can make an amortization schedule for your individual needs. The following scenario was given to a student, and this was the answer he/she calculated. So, first I want you to calculate the monthly payment for the scenario. Scenario: You purchased a new vehicle for $16,000 on Dec 1, 2013. Your first monthly payment will be due on January 1, 2014. The interest rate is 3.50% and the finance period is 4 years Calculate now Answer: If you calculated S692.90 or somewhere close to that, you have made the same mistake as the student in my example. Think about how you have calculated this, and why this does not make sense. If you are questioning the interest rate, the interest rate does not say it is a monthly rate, quarterly rate, or etc; so it is a yearly rate. I worded the problem this way on purpose to help you be aware of the fact that real-life problems as well as many of the problems in Chapter 3 and on the tests are worded this way (leaving out the words "yearly rate"). Anytime a problem does not specify the rate per 2?2 (month, etc), then it is always a yearly rate. Re-calculate. Did you get $357.70 now or the first time? I rounded the monthly interest rate. Take the yearly rate 0.035 and divide by 12-0.00291666667. Always round on the second digit that repeats. So, I used 0.0029167 in my formula. In my scenario, I had the student prepare a monthly amortization schedule similar to Table 1 on page 158 in your book. The amortization schedule in Figure A below is what the student prepared. Create your amortization schedule using the correct monthly payment and compare the differences
Step by Step Solution
There are 3 Steps involved in it
Get step-by-step solutions from verified subject matter experts
