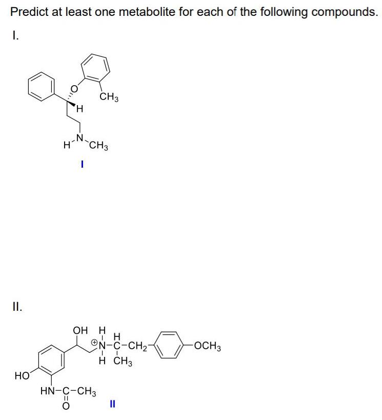
Chemistry Questions and Answers June 23, 2020

Expert-verified solutions to help you succeed