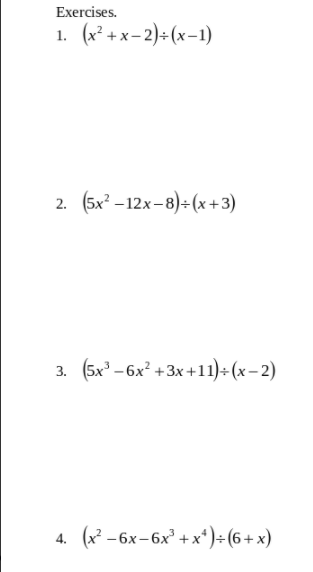
Mathematics Questions and Answers May 6, 2018

Expert-verified solutions to help you succeed

Showing 1 - 100 of 1501
  • 1 / 16