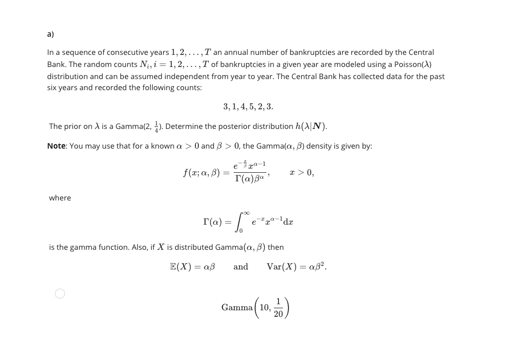
Mathematics Questions and Answers December 05, 2019

Expert-verified solutions to help you succeed

Showing 1300 - 1400 of 1506
  • 14 / 16