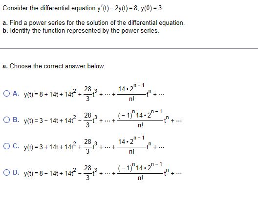
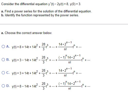
Mathematics Questions and Answers October 10, 2019

Expert-verified solutions to help you succeed

Showing 1000 - 1100 of 1500
  • 11 / 15