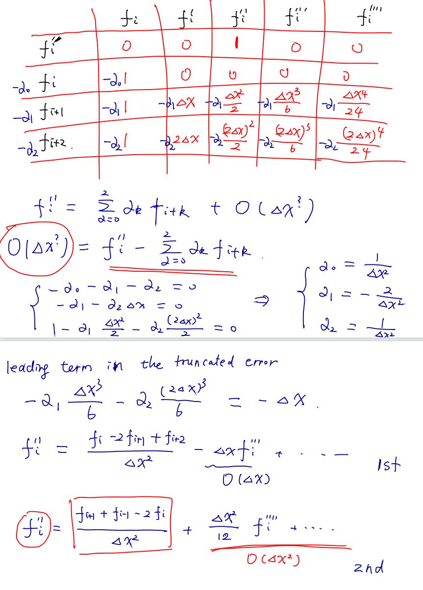
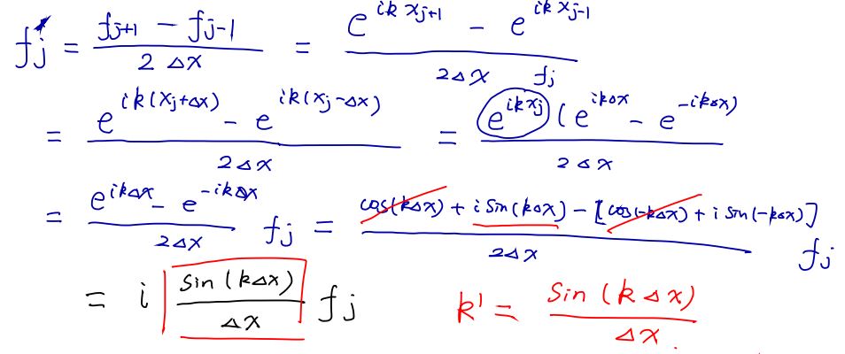
Mathematics Questions and Answers April 22, 2023

Expert-verified solutions to help you succeed

Showing 300 - 400 of 1498
  • 4 / 15