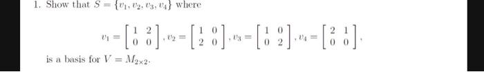
Question: Show that S = { v 1 , v 2 , v 3 , v 4 } where v 1 = [ 1 2 0
Show that where is a basis for
Step by Step Solution
There are 3 Steps involved in it
1 Expert Approved Answer
Step: 1 Unlock
Question Has Been Solved by an Expert!
Get step-by-step solutions from verified subject matter experts
Step: 2 Unlock
Step: 3 Unlock
