Question: so what I would like you to do is read the read the feedback and fix my answers thats all here is the question :



so what I would like you to do is read the read the feedback and fix my answers thats all
here is the question :




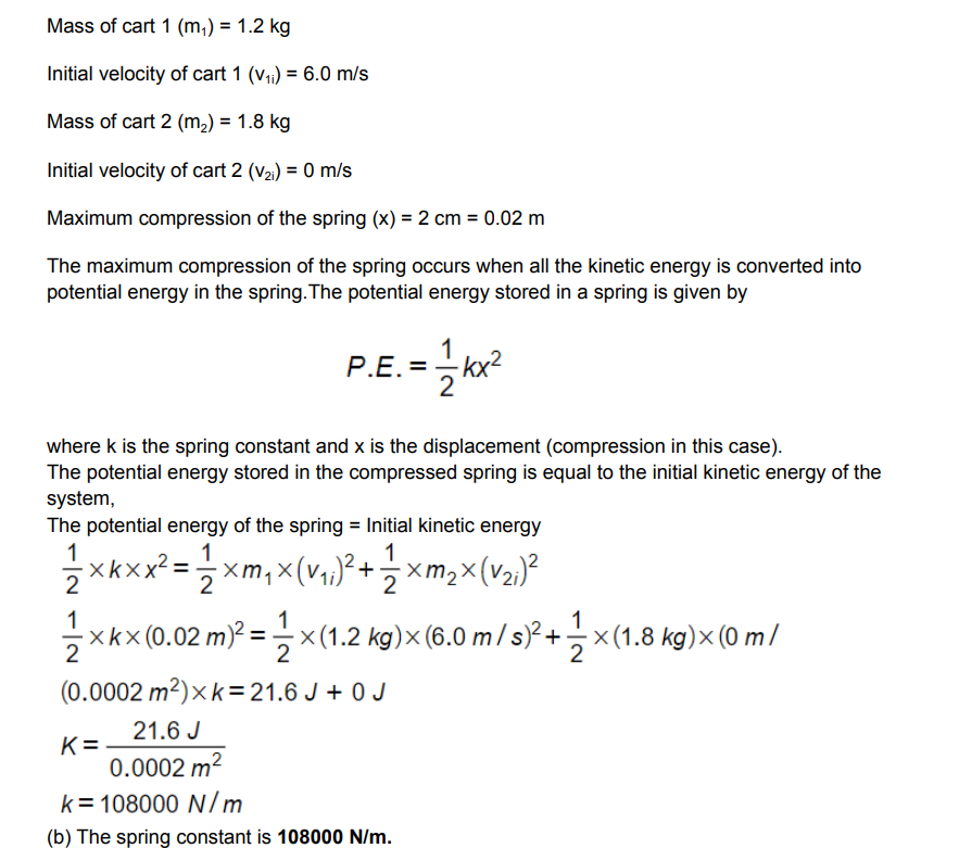
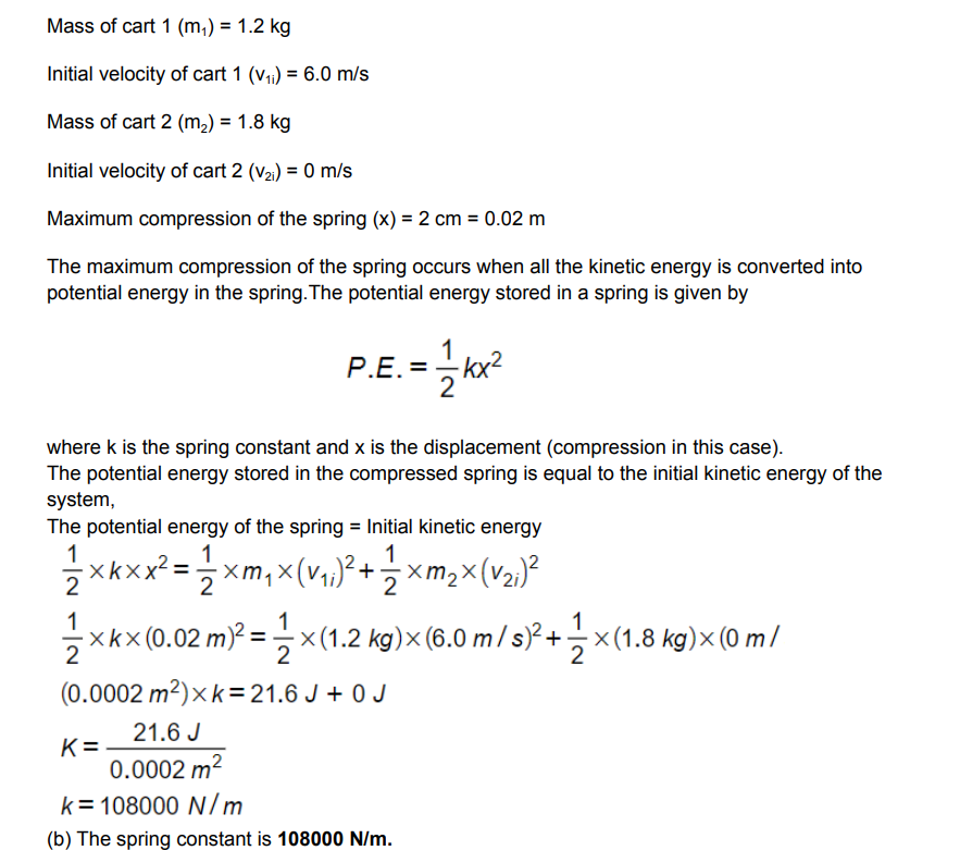
\fMass of cart 1 {m1} = 1.2 kg Initial velocity of cart 1 (v1i)= 6.0 mfs Mass of cart 2 {m2} = 1.3 kg Initial velocity of cart 2 (vgi) = 0 mfs Maximum compression of the spring (x) = 2 cm = 0.02 m The maximum compression of the spring occurs when all the kinetic energy is converted into potential energy in the spring.The potential energy stored in a spring is given by 1 RE=w2 2 where k is the spring constant and x is the displacement (compression in this case). The potential energy stored in the compressed spring is equal to the initial kinetic energy of the system. The potential energy of the spring = Initial kinetic energy %xkxx2= % x011 x(v1!-)2+% xm2x(v2l-)2 1 1 1 Exkxl0.02 m]2= E>
Step by Step Solution
There are 3 Steps involved in it
Get step-by-step solutions from verified subject matter experts
