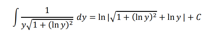
Question: Techniques of Integration 1. Show that 1 dy = Inl 1 + (In + Inyl+C


Techniques of Integration
1. Show that


1 dy = Inl 1 + (In + Inyl+C
Step by Step Solution
There are 3 Steps involved in it
Get step-by-step solutions from verified subject matter experts
