Question: The first 3 images are the excel file, while the last image is the questions related to it, and the program used to answer them




The first 3 images are the excel file, while the last image is the questions related to it, and the program used to answer them is R and R Commander. Please follow the instructions as they are written in the final image.
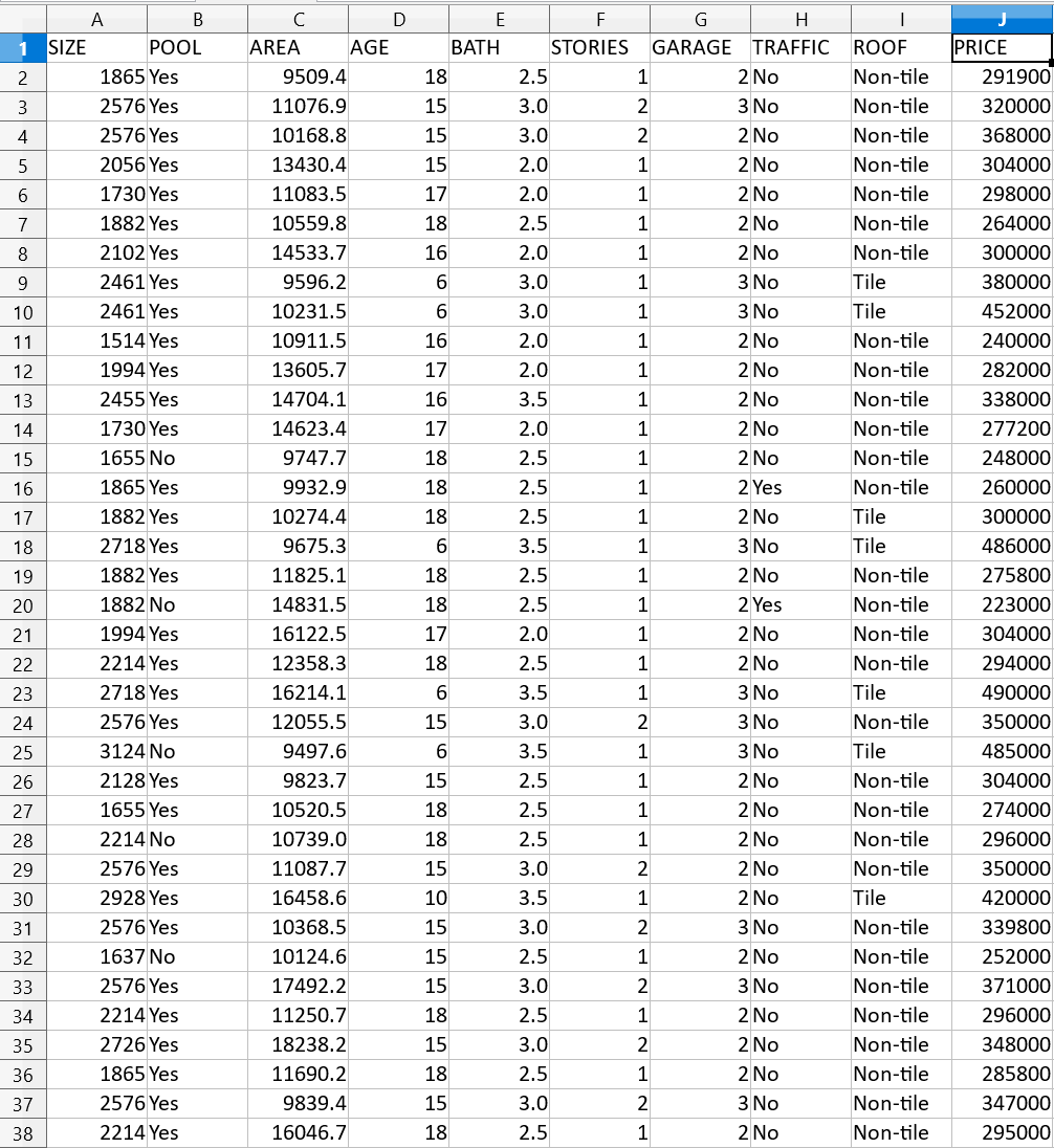
1 E BATH 18 15 15 15 17 18 16 6 ROOF Non-tile Non-tile Non-tile Non-tile Non-tile Non-tile Non-tile Tile Tile Non-tile Non-tile Non-tile Non-tile Non-tile Non-tile 6 16 17 16 17 18 18 18 Tile 6 A B 1 SIZE POOL 2 1865 Yes 3 2576 Yes 4 2576 Yes 5 2056 Yes 6 1730 Yes 7 1882 Yes 8 2102 Yes 9 2461 Yes 10 2461 Yes 11 1514 Yes 12 1994 Yes 13 2455 Yes 14 1730 Yes 15 1655 No 16 1865 Yes 17 1882 Yes 18 2718 Yes 19 1882 Yes 20 1882 No 21 1994 Yes 22 2214 Yes 23 2718 Yes 24 2576 Yes 25 3124 No 26 2128 Yes 27 1655 Yes 28 2214 No 29 2576 Yes 30 2928 Yes 31 2576 Yes 32 1637 No 33 2576 Yes 34 2214 Yes 35 2726 Yes 36 1865 Yes 37 2576 Yes 38 2214 Yes C D AREA AGE 9509.4 11076.9 10168.8 13430.4 11083.5 10559.8 14533.7 9596.2 10231.5 10911.5 13605.7 14704.1 14623.4 9747.7 9932.9 10274.4 9675.3 11825.1 14831.5 16122.5 12358.3 16214.1 12055.5 9497.6 9823.7 10520.5 10739.0 11087.7 16458.6 10368.5 10124.6 17492.2 11250.7 18238.2 11690.2 9839.4 16046.7 18 18 17 18 6 F. G H STORIES GARAGE TRAFFIC 2.5 1 2 No 3.0 2 3 No 3.0 2 2 No 2.0 1 2 No 2.0 1 2 No 2.5 1 2 No 2.0 1 2 No 3.0 1 3 No 3.0 1 3 No 2.0 1 2 No 2.0 1 2 No 3.5 1 2 No 2.0 1 2 No 2.5 1 2 No 2.5 1 2 Yes 2.5 1 2 No 3.5 1 3 No 2.5 1 2 No 2.5 1 2 Yes 2.0 1 2 No 2.5 1 2 No 3.5 1 3 No 3.0 2 3 No 3.5 1 3 No 2.5 1 2 No 2.5 1 2 No 2.5 1 2 No 3.0 2 3.5 1 2 No 3.0 2 3 No 2.5 1 2 No 3.0 2 3 No 2.5 1 2 No 3.0 2 2 No 2.5 1 2 No 3.0 2 3 No 2.5 1 2 No PRICE 291900 320000 368000 304000 298000 264000 300000 380000 452000 240000 282000 338000 277200 248000 260000 300000 486000 275800 223000 304000 294000 490000 350000 485000 304000 274000 296000 350000 420000 339800 252000 371000 296000 348000 285800 347000 295000 15 6 Tile Non-tile Non-tile Non-tile Non-tile Tile Non-tile Tile Non-tile Non-tile Non-tile Non-tile Tile Non-tile Non-tile Non-tile Non-tile Non-tile Non-tile Non-tile Non-tile 15 18 18 2 No 15 18 15 18 15 18 B D E F. G H 39 1 3 No 40 1 2 Yes 41 1 42 1 1 Tile Non-tile Non-tile Non-tile Non-tile Non-tile Tile Non-tile Non-tile 15 17 18 43 1 1 44 45 1 6 15 46 2 1 47 18 6 48 1 Tile 49 6 1 50 6 51 1 1 1 18 18 9 52 Tile Tile Non-tile Non-tile Tile Non-tile Non-tile Non-tile 1 53 54 1 55 3.0 2.5 2.5 2.5 2.0 2.5 3.5 3.0 2.5 3.5 3.5 3.0 2.5 2.5 3.5 2.5 2.0 2.5 3.5 3.5 2.5 3.5 3.0 2.5 3.0 2.5 3.0 2.5 2.5 2.5 3.0 2.5 18 15 18 6 1 1 A 2461 Yes 1882 No 2214 Yes 2128 Yes 2102 Yes 1865 Yes 2718 Yes 2576 Yes 1655 Yes 3124 Yes 3124 Yes 2461 Yes 1655 No 1655 No 2928 Yes 1655 Yes 1574 Yes 2075 Yes 2718 No 3124 Yes 1865 Yes 3124 No 2461 No 2255 No 2461 No 1865 No 2576 Yes 1655 Yes 1655 Yes 1865 Yes 2461 Yes 2214 Yes 2176 Yes 2160 Yes 2461 No 1882 Yes 2214 No 2461 No 56 9589.8 9917.4 20748.0 12594.7 10446.0 10726.7 9955.4 17805.1 10416.8 14130.5 9555.7 9954.6 9722.9 10027.3 17070.5 10691.7 9922.9 10060.3 10009.9 9670.6 10643.8 10197.4 9607.0 9622.0 9803.2 10113.1 10975.8 9887.7 10125.1 9746.5 9704.9 13435.8 10121.7 17173.9 9528.0 10027.1 13218.7 9496.6 57 1 Tile J 430000 228000 310000 239534 293000 269000 476000 336000 230000 516000 525000 468000 239800 230600 474000 238000 254000 226000 516000 497500 263800 522000 466000 237000 490000 264000 287000 249000 210000 252000 469800 266000 274000 308000 411000 227800 264000 416000 58 6 2 No 2 No 2 No 2 No 3 No 2 No 2 No 3 No 3 No 3 No 2 No 2 No 3 No 2 No 2 No 2 Yes 3 No 3 No 2 No 3 No 3 No 2 Yes 3 No 2 No 3 No 2 No 2 Yes 2 Yes 3 No 2 No 2 No 2 No 3 No 2 No 2 No 3 No 1 59 18 6 1 1 60 61 6 1 62 1 18 6 63 1 1 64 65 18 15 18 2 66 1 67 18 Tile Non-tile Tile Tile Non-tile Tile Non-tile Non-tile Non-tile Non-tile Non-tile Tile Non-tile Non-tile Non-tile Tile Non-tile Non-tile Tile 68 1 1 1 1 18 6 69 70 71 18 15 15 2.0 1 72 1 1 73 6 74 2.0 3.0 2.5 2.5 3.0 18 18 1 1 75 76 6 1 B D E F. G 1 77 2 Tile 11 6 78 1 Tile 79 9 1 80 18 1 81 2 1 82 A 2125 Yes 3124 Yes 2928 Yes 2214 Yes 2576 No 1865 Yes 1865 Yes 2214 Yes 2214 Yes 2214 Yes 2056 Yes 1655 Yes 3124 Yes 10242.2 10016.5 12141.4 10963.4 17882.9 11428.0 9796.5 11803.3 18004.4 10612.7 10114.3 10359.9 15949.6 15 18 18 18 3.5 3.5 3.5 2.5 3.0 2.5 2.5 2.5 2.5 2.5 2.0 2.5 3.5 H 2 No 3 No 3 Yes 2 Yes 3 No 2 No 2 No 2 Yes 2 No 2 No 2 No 2 No 3 No 83 J 320000 510000 390000 270000 319800 246000 232000 272000 285800 278000 235800 210000 482500 1 84 Tile Non-tile Non-tile Non-tile Non-tile Non-tile Non-tile Non-tile Non-tile Non-tile Tile 1 1 85 86 1 18 18 16 18 87 1 88 1 1 89 6 Part B Finish the following questions using Rand R commander: Load the data set "A1_SaleHome.xlsx" (with information about 88 sale homes) into R commander and complete the following tasks. For each, you need to copy or take a screenshot of the output in R commander (we also refer to this 2 Online STAT 151 Total: 85 marks output as computer output) and submit it with your solutions to each question. To save space, you only need to copy and paste what is asked for in the questions and should adjust the size of the image when appropriate. 1. Use the most suitable type of graphs to summarize the prices of these 88 sale homes. Comment on the distribution of the price in terms of overall shape, modality, and symmetricity/skewness if applicable. (5 marks) 2. Use the most suitable graph to show the effect of "Size" on the "Price" of the sale home. Briefly describe the relationship you found. (5 marks) 3. Choose the most appropriate measure for the centre of each of the following four variables and provide the values of the selected measures: POOL, AGE, BATH, PRICE. Justify your choice with appropriate output and reasoning. (8 marks) 4. Use proper numerical summaries to compare the prices of homes with a tile roof and a non-tile roof. Briefly explain your findings based on the numerical summaries. (5 marks) 5. Draw a side-by-side box plot to compare the prices of homes with a tile roof and a non-tile roof. Briefly explain your findings based on the plot. (5 marks) 6. Use proper descriptive statistics and graphs to compare the prices of homes with a swimming pool and without a swimming pool. Briefly summarize your findings. (10 marks) 1 E BATH 18 15 15 15 17 18 16 6 ROOF Non-tile Non-tile Non-tile Non-tile Non-tile Non-tile Non-tile Tile Tile Non-tile Non-tile Non-tile Non-tile Non-tile Non-tile 6 16 17 16 17 18 18 18 Tile 6 A B 1 SIZE POOL 2 1865 Yes 3 2576 Yes 4 2576 Yes 5 2056 Yes 6 1730 Yes 7 1882 Yes 8 2102 Yes 9 2461 Yes 10 2461 Yes 11 1514 Yes 12 1994 Yes 13 2455 Yes 14 1730 Yes 15 1655 No 16 1865 Yes 17 1882 Yes 18 2718 Yes 19 1882 Yes 20 1882 No 21 1994 Yes 22 2214 Yes 23 2718 Yes 24 2576 Yes 25 3124 No 26 2128 Yes 27 1655 Yes 28 2214 No 29 2576 Yes 30 2928 Yes 31 2576 Yes 32 1637 No 33 2576 Yes 34 2214 Yes 35 2726 Yes 36 1865 Yes 37 2576 Yes 38 2214 Yes C D AREA AGE 9509.4 11076.9 10168.8 13430.4 11083.5 10559.8 14533.7 9596.2 10231.5 10911.5 13605.7 14704.1 14623.4 9747.7 9932.9 10274.4 9675.3 11825.1 14831.5 16122.5 12358.3 16214.1 12055.5 9497.6 9823.7 10520.5 10739.0 11087.7 16458.6 10368.5 10124.6 17492.2 11250.7 18238.2 11690.2 9839.4 16046.7 18 18 17 18 6 F. G H STORIES GARAGE TRAFFIC 2.5 1 2 No 3.0 2 3 No 3.0 2 2 No 2.0 1 2 No 2.0 1 2 No 2.5 1 2 No 2.0 1 2 No 3.0 1 3 No 3.0 1 3 No 2.0 1 2 No 2.0 1 2 No 3.5 1 2 No 2.0 1 2 No 2.5 1 2 No 2.5 1 2 Yes 2.5 1 2 No 3.5 1 3 No 2.5 1 2 No 2.5 1 2 Yes 2.0 1 2 No 2.5 1 2 No 3.5 1 3 No 3.0 2 3 No 3.5 1 3 No 2.5 1 2 No 2.5 1 2 No 2.5 1 2 No 3.0 2 3.5 1 2 No 3.0 2 3 No 2.5 1 2 No 3.0 2 3 No 2.5 1 2 No 3.0 2 2 No 2.5 1 2 No 3.0 2 3 No 2.5 1 2 No PRICE 291900 320000 368000 304000 298000 264000 300000 380000 452000 240000 282000 338000 277200 248000 260000 300000 486000 275800 223000 304000 294000 490000 350000 485000 304000 274000 296000 350000 420000 339800 252000 371000 296000 348000 285800 347000 295000 15 6 Tile Non-tile Non-tile Non-tile Non-tile Tile Non-tile Tile Non-tile Non-tile Non-tile Non-tile Tile Non-tile Non-tile Non-tile Non-tile Non-tile Non-tile Non-tile Non-tile 15 18 18 2 No 15 18 15 18 15 18 B D E F. G H 39 1 3 No 40 1 2 Yes 41 1 42 1 1 Tile Non-tile Non-tile Non-tile Non-tile Non-tile Tile Non-tile Non-tile 15 17 18 43 1 1 44 45 1 6 15 46 2 1 47 18 6 48 1 Tile 49 6 1 50 6 51 1 1 1 18 18 9 52 Tile Tile Non-tile Non-tile Tile Non-tile Non-tile Non-tile 1 53 54 1 55 3.0 2.5 2.5 2.5 2.0 2.5 3.5 3.0 2.5 3.5 3.5 3.0 2.5 2.5 3.5 2.5 2.0 2.5 3.5 3.5 2.5 3.5 3.0 2.5 3.0 2.5 3.0 2.5 2.5 2.5 3.0 2.5 18 15 18 6 1 1 A 2461 Yes 1882 No 2214 Yes 2128 Yes 2102 Yes 1865 Yes 2718 Yes 2576 Yes 1655 Yes 3124 Yes 3124 Yes 2461 Yes 1655 No 1655 No 2928 Yes 1655 Yes 1574 Yes 2075 Yes 2718 No 3124 Yes 1865 Yes 3124 No 2461 No 2255 No 2461 No 1865 No 2576 Yes 1655 Yes 1655 Yes 1865 Yes 2461 Yes 2214 Yes 2176 Yes 2160 Yes 2461 No 1882 Yes 2214 No 2461 No 56 9589.8 9917.4 20748.0 12594.7 10446.0 10726.7 9955.4 17805.1 10416.8 14130.5 9555.7 9954.6 9722.9 10027.3 17070.5 10691.7 9922.9 10060.3 10009.9 9670.6 10643.8 10197.4 9607.0 9622.0 9803.2 10113.1 10975.8 9887.7 10125.1 9746.5 9704.9 13435.8 10121.7 17173.9 9528.0 10027.1 13218.7 9496.6 57 1 Tile J 430000 228000 310000 239534 293000 269000 476000 336000 230000 516000 525000 468000 239800 230600 474000 238000 254000 226000 516000 497500 263800 522000 466000 237000 490000 264000 287000 249000 210000 252000 469800 266000 274000 308000 411000 227800 264000 416000 58 6 2 No 2 No 2 No 2 No 3 No 2 No 2 No 3 No 3 No 3 No 2 No 2 No 3 No 2 No 2 No 2 Yes 3 No 3 No 2 No 3 No 3 No 2 Yes 3 No 2 No 3 No 2 No 2 Yes 2 Yes 3 No 2 No 2 No 2 No 3 No 2 No 2 No 3 No 1 59 18 6 1 1 60 61 6 1 62 1 18 6 63 1 1 64 65 18 15 18 2 66 1 67 18 Tile Non-tile Tile Tile Non-tile Tile Non-tile Non-tile Non-tile Non-tile Non-tile Tile Non-tile Non-tile Non-tile Tile Non-tile Non-tile Tile 68 1 1 1 1 18 6 69 70 71 18 15 15 2.0 1 72 1 1 73 6 74 2.0 3.0 2.5 2.5 3.0 18 18 1 1 75 76 6 1 B D E F. G 1 77 2 Tile 11 6 78 1 Tile 79 9 1 80 18 1 81 2 1 82 A 2125 Yes 3124 Yes 2928 Yes 2214 Yes 2576 No 1865 Yes 1865 Yes 2214 Yes 2214 Yes 2214 Yes 2056 Yes 1655 Yes 3124 Yes 10242.2 10016.5 12141.4 10963.4 17882.9 11428.0 9796.5 11803.3 18004.4 10612.7 10114.3 10359.9 15949.6 15 18 18 18 3.5 3.5 3.5 2.5 3.0 2.5 2.5 2.5 2.5 2.5 2.0 2.5 3.5 H 2 No 3 No 3 Yes 2 Yes 3 No 2 No 2 No 2 Yes 2 No 2 No 2 No 2 No 3 No 83 J 320000 510000 390000 270000 319800 246000 232000 272000 285800 278000 235800 210000 482500 1 84 Tile Non-tile Non-tile Non-tile Non-tile Non-tile Non-tile Non-tile Non-tile Non-tile Tile 1 1 85 86 1 18 18 16 18 87 1 88 1 1 89 6 Part B Finish the following questions using Rand R commander: Load the data set "A1_SaleHome.xlsx" (with information about 88 sale homes) into R commander and complete the following tasks. For each, you need to copy or take a screenshot of the output in R commander (we also refer to this 2 Online STAT 151 Total: 85 marks output as computer output) and submit it with your solutions to each question. To save space, you only need to copy and paste what is asked for in the questions and should adjust the size of the image when appropriate. 1. Use the most suitable type of graphs to summarize the prices of these 88 sale homes. Comment on the distribution of the price in terms of overall shape, modality, and symmetricity/skewness if applicable. (5 marks) 2. Use the most suitable graph to show the effect of "Size" on the "Price" of the sale home. Briefly describe the relationship you found. (5 marks) 3. Choose the most appropriate measure for the centre of each of the following four variables and provide the values of the selected measures: POOL, AGE, BATH, PRICE. Justify your choice with appropriate output and reasoning. (8 marks) 4. Use proper numerical summaries to compare the prices of homes with a tile roof and a non-tile roof. Briefly explain your findings based on the numerical summaries. (5 marks) 5. Draw a side-by-side box plot to compare the prices of homes with a tile roof and a non-tile roof. Briefly explain your findings based on the plot. (5 marks) 6. Use proper descriptive statistics and graphs to compare the prices of homes with a swimming pool and without a swimming pool. Briefly summarize your findings. (10 marks)
Step by Step Solution
There are 3 Steps involved in it
Get step-by-step solutions from verified subject matter experts
