Question: The given example in the image I uploaded should be the format of the solution.[Type the ANSWERS and SOLUTIONS electronically with your devices] Differentiation of
The given example in the image I uploaded should be the format of the solution.[Type the ANSWERS and SOLUTIONS electronically with your devices]

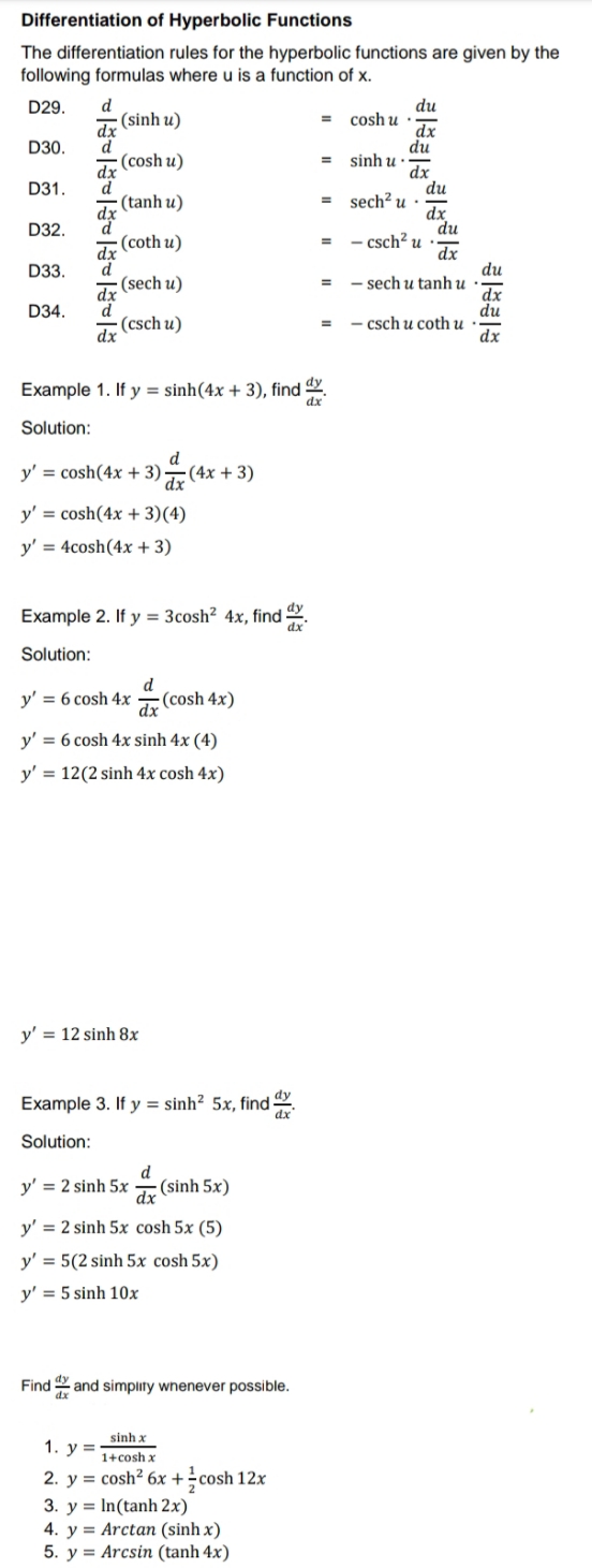
Differentiation of Hyperbolic Functions The differentiation rules for the hyperbolic functions are given by the following formulas where u is a function of x. D29. du (sinh u) = cosh u dx D30. du (cosh u) = sinh u .- dx D31. du (tanh u) = sechu . dx D32. - csch u . du (coth u) dx D33. du (sech u) - sechu tanhu . D34. du (csch u) = - csch u coth u Example 1. If y = sinh(4x + 3), find dy. Solution: y' = cosh(4x + 3) -(4x + 3) y' = cosh(4x + 3)(4) y' = 4cosh(4x + 3) Example 2. If y = 3cosh2 4x, find x. Solution: y' = 6 cosh 4x - (cosh 4x) y' = 6 cosh 4x sinh 4x (4) y' = 12(2 sinh 4x cosh 4x) y' = 12 sinh 8x Example 3. If y = sinh2 5x, find ay. Solution: y' = 2 sinh 5x - (sinh 5x) y' = 2 sinh 5x cosh 5x (5) y' = 5(2 sinh 5x cosh 5x) y' = 5 sinh 10x Find - and simplify whenever possible. 1. y = ; sinh x 1+cosh x 2. y = cosh2 6x + =cosh 12x 3. y = In (tanh 2x) 4. y = Arctan (sinh x) 5. y = Arcsin (tanh 4x)
Step by Step Solution
There are 3 Steps involved in it
Get step-by-step solutions from verified subject matter experts
