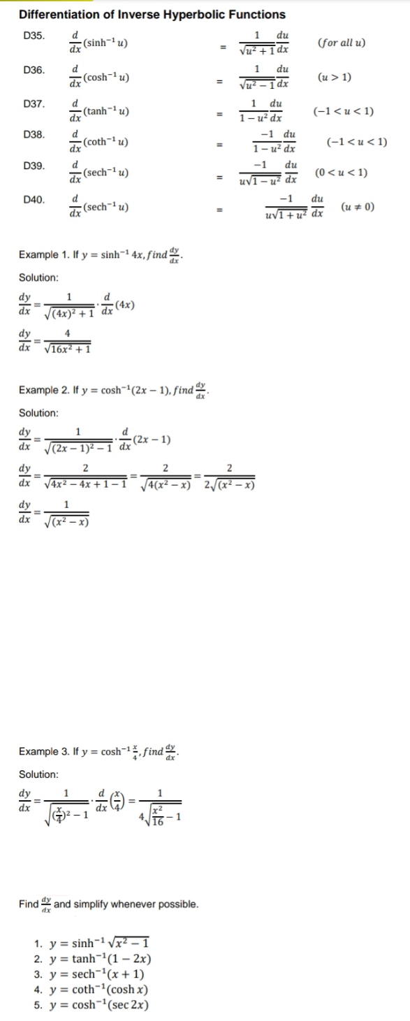
Question: The given example in the image I uploaded should be the format of the solution.[Type the ANSWERS and SOLUTIONS electronically with your devices]
The given example in the image I uploaded should be the format of the solution.[Type the ANSWERS and SOLUTIONS electronically with your devices]

Step by Step Solution
There are 3 Steps involved in it
Get step-by-step solutions from verified subject matter experts
