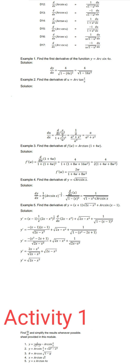
Question: 1) The given example in the image I uploaded should be the format of the solution.[Type the ANSWERS and SOLUTIONS electronically with your devices] D12:

1) The given example in the image I uploaded should be the format of the solution.[Type the ANSWERS and SOLUTIONS electronically with your devices]

D12: - (Arcsin u) du dx 1 - udx du D13: dx -(Arccos u) 1 - uz dx D14: d 1 du dx -(Arctan u) 1 + uz dx D15: -1 du dx (Are cot u) 1 + u' dx D16 " (Arcsec u) du dx uv1 - u- dx -1 du D17 d 7 (Are escu) wv1 - udx Example 1. Find the first derivative of the function y = Arc sin 4x. Solution: dy dx V1 - (4x)? VI- 16xz Example 2. Find the derivative of u = Arctan= Solution: du dx a 1 a a dx 1+ ( )2 a2 + x2 a2+ x2 Example 3. Find the derivative of f(w) = Arctan (1 + 4w). Solution: f'(w) = aw (1 + 4w) 1 + (1 + 4w)2 -1+ (1+8w + 16w=) 2(1 + 4w + 8w2) 2w f'(w) = 1+4w +8w2 Example 4. Find the derivative of y = VArcsin x. Solution: ax = = (Arcsin x) 1 . _ax (x) V1 - ( x) V1 - x VArcsin x Example 5. Find the derivative of y = (x + 1)v2x - x2 + Arcsin (x - 1). Solution: y' = (x - 1)- (2x - x3)1 4 (2x - x2 ) + V2x -x2 +- V1- (x - 1)2 y' = - _-(x - 1)(x - 1) -+ V2x - x2+- V2x - x- V1 - (x2 - 2x + 1) y = ( x - 2x + 1) + 2x - x2 + V2x - x2 V2x-xz 2x - x2 y'=- + V2x - x2 V2x - x2 y' = v2x - x2 Activity 1 Find " and simplify the results whenever possible. sheet provided in this module. 1. = - Arcsin 2. y = Arcsin = + Val - xz 3. 0 = Arccos 1 -4 4. x = Arctan vt 5. y = x Arctan 4x
Step by Step Solution
There are 3 Steps involved in it
Get step-by-step solutions from verified subject matter experts
