Question: The given example in the image I uploaded should be the format of the solution.[Type the ANSWERS electronically with your devices] D12: dx (Arcsin u)

The given example in the image I uploaded should be the format of the solution.[Type the ANSWERS electronically with your devices]
![format of the solution.[Type the ANSWERS electronically with your devices] D12: dx](https://s3.amazonaws.com/si.experts.images/answers/2024/06/6668430b146c3_9386668430ae008d.jpg)
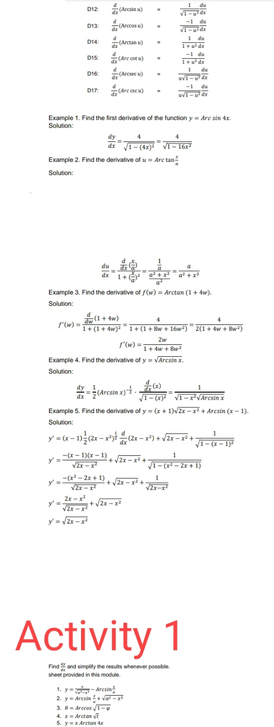
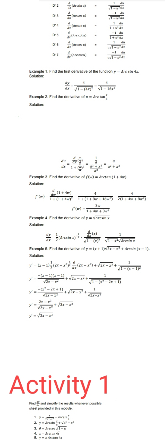
D12: dx (Arcsin u) 1 du 1-udx D13: -1 d dx -(Arccos u) D14: dx (Arctan u) 1 du 1 + u' dx D15: d -1 du dx (Are cot u) 1 + u' dx 1 D16: d dx (Arcsec u) du uv1 - udx D17: d (Are cscu) du uv1 - u dx Example 1. Find the first derivative of the function y = Arc sin 4x. Solution: dy dx 1 - (4x)2 V1 - 16xz Example 2. Find the derivative of u = Arc tan- Solution: du dx a 1 a dx 1 + ()2 a? + x2 a2 + x2 Example 3. Find the derivative of f(w) = Arctan (1 + 4w). Solution: f'(w) = a aw (1 + 4w) 1 + (1 + 4w)2 -1+ (1+8w + 16w=) 2(1 + 4w + 8w2) 2w f'(w) = 1+4w +8w2 Example 4. Find the derivative of y = VArcsin x. Solution: as = (Arcsin x) 1 . - ( x ) V1 - ( x) V1 - x- VArcsin x Example 5. Find the derivative of y = (x + 1)v2x - x2 + Arcsin (x - 1). Solution: y' = (x - 1)- (2x - x3)3 4 (2x - x2 ) + VZx -x2 +- V1 - (x- 1) =(x-1)(x - 1) -+ V2x - x2+ V2x - x- V1 - (x2 - 2x + 1) y' = ( x -2x+ 1)+ 2x - x2+ V2x - x2 V2x-xz 2x - x2 y' = - V2x - x2 + V2x - x2 y' = v2x - x2 Activity 1 Find " and simplify the results whenever possible. sheet provided in this module. 1. Y= F Val-x 2. y = Arcsin = + Val - xi 3. 0 = Arccos 1 - 4 4. x = Arctan vt 5. y = x Arctan 4x
Step by Step Solution
There are 3 Steps involved in it
Get step-by-step solutions from verified subject matter experts
