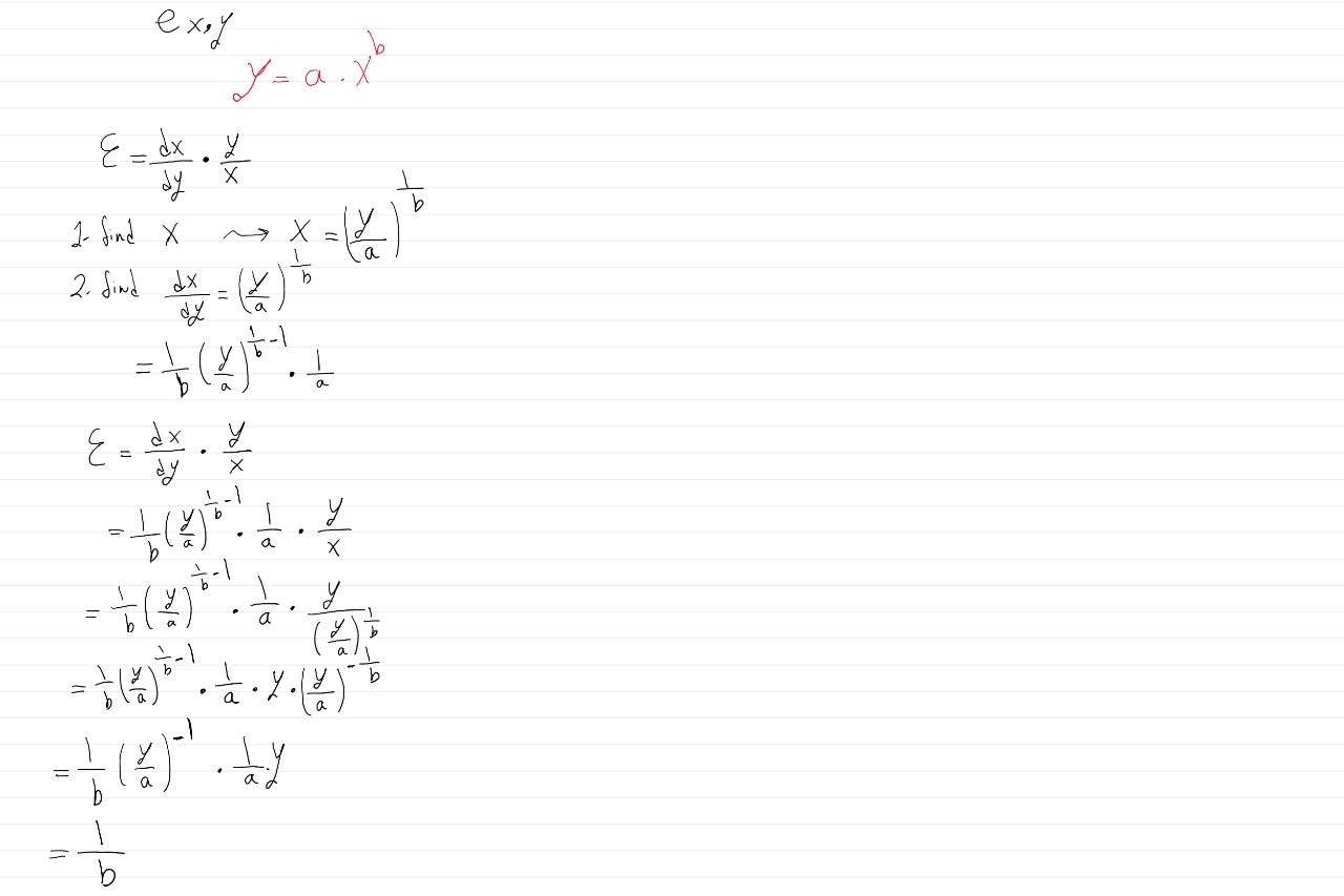
Question: The question is about elasticity e x,y and this important different of e y,x the ! doesn't mean thing it just to notify it is
The question is about elasticity e x,y and this important different of e y,x the ! doesn't mean thing it just to notify it is x,y not y,x
I tried to solve it to make it easier to understand the question the question use calculas
PLEASE check my answer whither it is right or not and correct me


4. Determine the elasticity ex,y (!) when y = a. x.ex,y Y = a . x 2 = dx . X X 1- find X ~ X : 2. find dx b a 7 = dx X a X = a = a = b
Step by Step Solution
There are 3 Steps involved in it
Get step-by-step solutions from verified subject matter experts
