Question: The resolved problem is displayed. Now, graph it in Matlab and show the program. Magnetic ball. A spherical shell of radius R, carries a surface





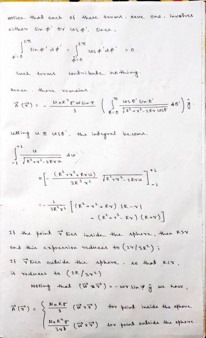
The resolved problem is displayed. Now, graph it in Matlab and show the program. Magnetic ball. A spherical shell of radius R, carries a surface uniform charge o and rotates with an angular velocity w. We wish to find the vector magnetic potential at an arbitrary point r in space. For this, we first rotate our reference system such that the position r is on the z axis and that the angular velocity w is in the xz plane as seen in the image. Figure 1: Rotating spherical shell with surface charge density o. Using the integral form of the potential vector on a surface K(r') A(r) 47 -DA'. (1) rd where K(r') is the surface current density given by K(r') = ov', while ra= VR2 + p2 2Rr cos O' and dA' = R2 sin O'd0'do'. 2 Y 0 DA 1 W fig.: Rotating spherical shell with surface charge density r. Magnetic vector potential al the point & x (7) ra dA 4 TL where, G)=r a = R + x - 2 Rr coso and dA' = R sin o do do NOW the velocity of a point ri rigid body is given by w or in a rotating Hence, KE r(WxT) wsing w cost R sin o' cosa Rsino'sind' RCOS O RW [-(cos y sino' sin t') + (cos y sin o' cost'. sin y coso') - ( sin y sin o sin d'99] Notice that each os these terms, save one, involves either sin a' or cost'. Since , 2. TC 2. TV sin a' dd los such terms contribute nothing. Hance there remains TE MoRrusiny ao) i 2 oro TR+g_2R8 coso letting us cosol, the integral become. + du of contact us Fear skru] 1 3R82 ? [CR***** Rr) IR-V - (R4-R) (+r)] If the point lies inside the sphere, then Ry and this expression reduces to (28/3R): 15 rlies outside the sphere so that RaY. it reduces to (2R/382) Noting that (w xr) 2-wr sint we have , MoRT () (Wx3) for point inside the sphere MOR"r 383 (w x) for point outside the sphere. NOW consider natural wordinates ie (ro, o) which coincides with the z axis and the point r (7,0,0): wah Te + Then the vector will be , magnetic potential ersino A MoRW 3 (4, 0, $) - (YER) MOR"wo Sino (*)R) 3 re
Step by Step Solution
There are 3 Steps involved in it
Get step-by-step solutions from verified subject matter experts
