Question: This is an calculus optimization type question. Both the QUESTION and SOLUTION are shown below. My first query relates to the statement, x = y



This is an calculus optimization type question.
Both the QUESTION and SOLUTION are shown below.
My first query relates to the statement,
x=y=z=2a
which is underlined in RED below. How is this equation determined ?
My second relates to the statement,
34a28=0
which is underlined in BLUE below.
How is this equation determined ?
Please explain clearly showing each step as thoroughly as possible. If you are using hand written notes, then please ensure they are neat and legible, as it is difficult to interpret illegible hand-written notes. Alternatively, use LaTex.
QUESTION



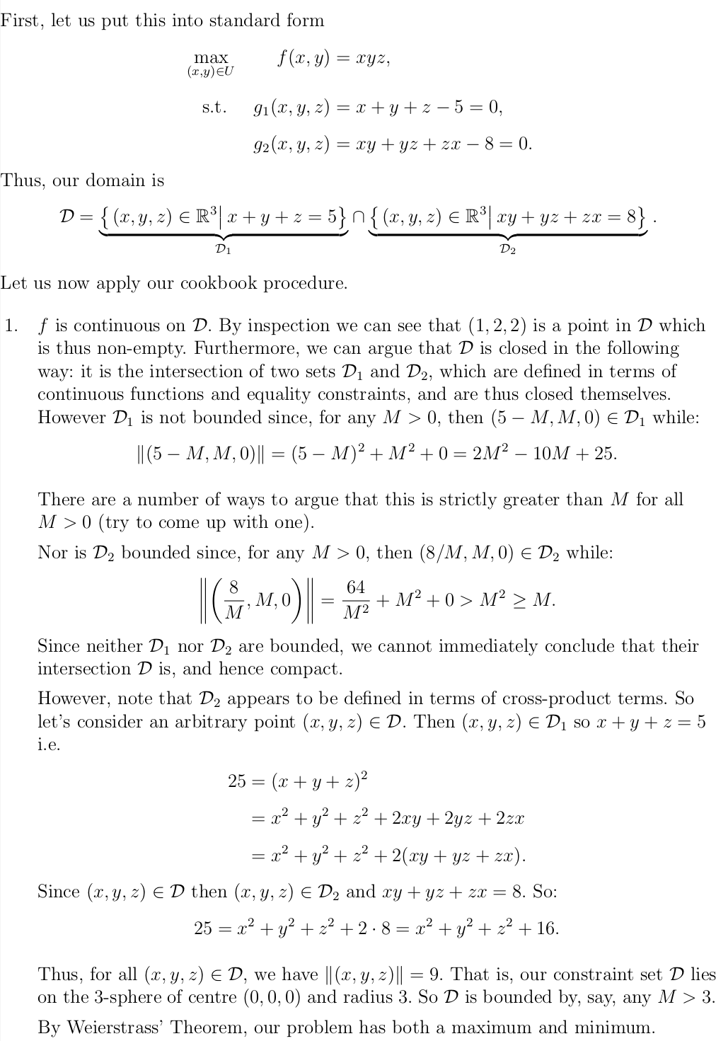
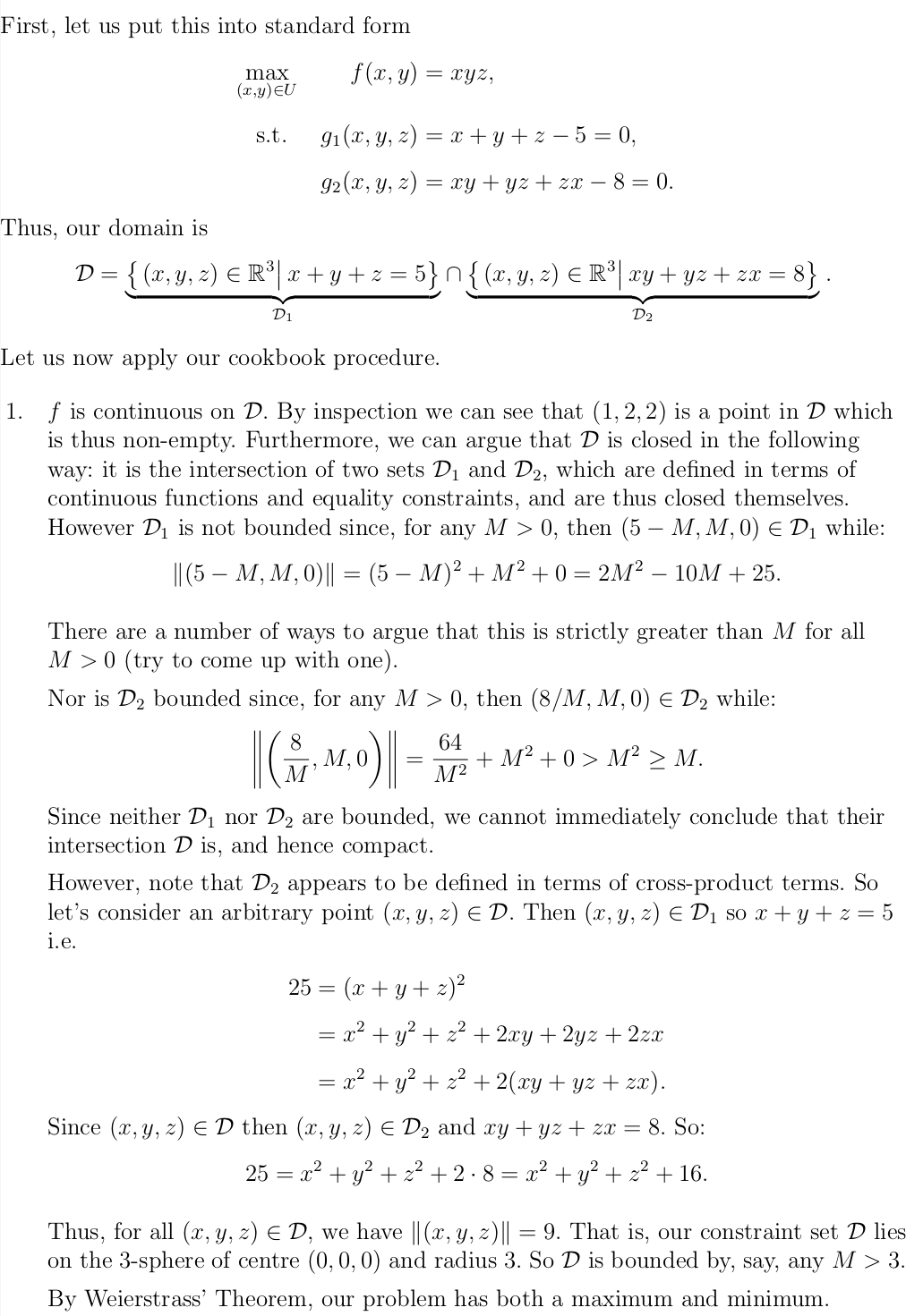
Find the maximum and minimum points of f (:13, y, z) = xyz on R3 subject to the constraints that :1: + y + z = 5 and my + yz + 2x = 8. First, let us put this into standard form max 1:, =3: 2, ma, f( y) 9 st. gl($,y,z)=3:+y+z5=0, 92($1yaz)=$y+yz+Z$8=O. Thus, our domain is 'D={(1:,y,z)6R3lx+y+z=5}{($,y,z)6R3lxy+yz+zzt=8}. 'v' x/ 131 D2 Let us now apply our cookbook procedure. 1. f is continuous on 'D. By inspection we can see that (1, 2, 2) is a point in 'D which is thus nonempty. Furthermore, we can argue that 'D is closed in the following way: it is the intersection of two sets D1 and D2, which are dened in terms of continuous functions and equality constraints, and are thus closed themselves. However D1 is not bounded since, for any M > 0, then (5 M, M, D) 6 D1 while: ||(5 M,M,0)|| = (5 M)2+M2+ 0 = 2M2 10M+ 25. There are a number of ways to argue that this is strictly greater than M for all M > 0 (try to come up with one). Nor is D2 bounded since, for any M > 0, then (8/M, M, 0) 6 D2 while: ||(% HMO)\": +M2+0>M2>M. Since neither 'D1 nor D2 are bounded, we cannot immediately conclude that their intersection 'D is, and hence compact. However, note that D2 appears to be dened in terms of crossproduct terms. So let's consider an arbitrary point (11:, y, z) E 'I). Then (1:, y, z) E 791 so 3:: + y + z = 5 i.e. 25=($+y+z)2 2 =$24 y2 | 2 (21:3; (2:92 | 22:1: =$2+y2+22+2($y+yz+2$). Since (:1:,y,z) EDthen (11:,y, z) E'Dg and 3::y+yz+z:1:=8. So: 25=$2+y2+22+2-8=332+y2+22+16. Thus, for all (1:, y, z) E 'D, we have ||(;I:, y,z)|| = 9. That is, our constraint set 'D lies on the 3sphere of centre (0, 0, 0) and radius 3. So '19 is bounded by, say, any M > 3. By Weierstrass' Theorem, our problem has both a maximum and minimum. For the constraint qualication, we have: 1 y+z Dgl(;t,y,z) = 1 , Dgg[$,y,z) = n+2: 1 $+y For {1391(1', y,z},Dgg[2:, 3.32)} to be linearly dependent for some (1:,y, 2) we must have one of the following situations: i) y+z [l I+z = 0 4: y+z=I+z=I+y=U, ac+y [l which solves to give 1: = y = z = I]. This does not yield a point in D. ii) y+z a m+z = c , I+y a where a 75 0 of course. This has solution: = y = z = g, but then we would have: a o. a o; 10 0: (,,)=35 =:~ e=, 91 2 2 2 2 3 2 _ see _ a__ 2-? 092(2'2'2)' 4 3 g" a ' 3' which are incompatible. Thus, for any.r (I, y, z) E D we have that the constraint qualication holds
Step by Step Solution
There are 3 Steps involved in it
Get step-by-step solutions from verified subject matter experts
