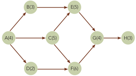
Question: Use the information provided in the Table 1 and the network diagram in Figure 1 for the following problems. Chapter 16 Use the information provided
Use the information provided in the Table 1 and the network diagram in Figure 1 for the following problems.
| Chapter 16 Use the information provided in the Table 1 and the network diagram in Figure 1 for the following problems.
Table 1
Figure 1. AON network diagram
| ||||||||||||||||||||||||||||||||||||||||||||||||||||||||||||||
Step by Step Solution
There are 3 Steps involved in it
Get step-by-step solutions from verified subject matter experts

