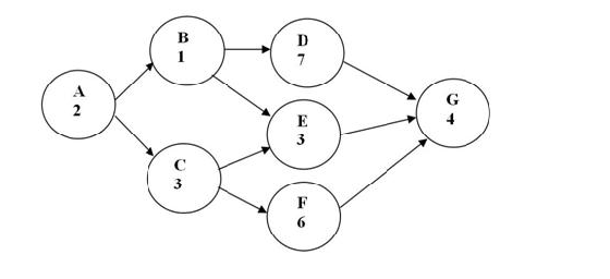
Question: What's the slack time for Activity D? Activity Activity Time Earliest Start Earliest Finish Latest Start Latest Finish Slack A 2 0 0 2 0
What's the slack time for Activity D?

Step by Step Solution
There are 3 Steps involved in it
1 Expert Approved Answer
Step: 1 Unlock
Question Has Been Solved by an Expert!
Get step-by-step solutions from verified subject matter experts
Step: 2 Unlock
Step: 3 Unlock
