Question: Which tree would result from inserting the following values in the order in which they are written into an initially empty min heap? 4, 5,


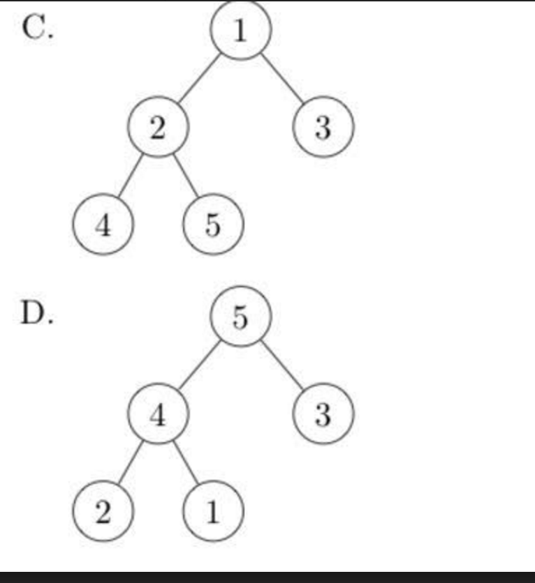
Which tree would result from inserting the following values in the order in which they are written into an initially empty min heap? 4, 5, 3, 2, 1
Step by Step Solution
There are 3 Steps involved in it
Get step-by-step solutions from verified subject matter experts
