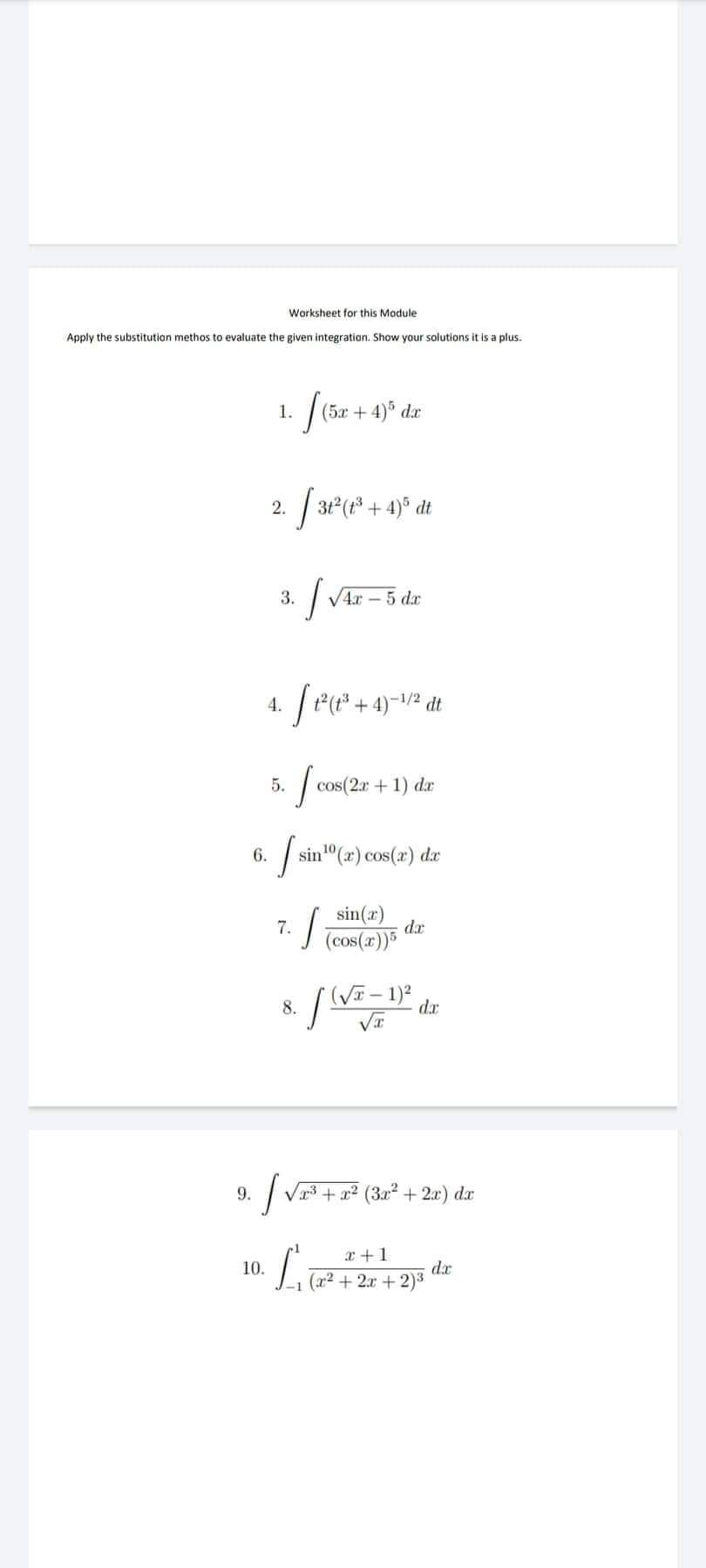
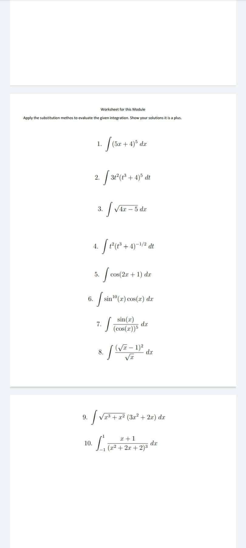
Question: Worksheet for this Module Apply the substitution methos to evaluate the given integration. Show your solutions it is a plus. 1. (5x + 4)5 dx


Worksheet for this Module Apply the substitution methos to evaluate the given integration. Show your solutions it is a plus. 1. (5x + 4)5 dx 2 . 312 (13 + 4) 5 dt 3. VAr - 5 d. 4. 12 (1 3 + 4 ) -1/2 dt 5. cos (2x + 1) dr 6. sin"(x) cos(x) da sin(r) 7. (cos())5 dar 8. f ( Vx -1) dr 9. Vel + 12 (312 + 2x) de 10. - (2 + 2.1 + 2)3
Step by Step Solution
There are 3 Steps involved in it
Get step-by-step solutions from verified subject matter experts
