Question: write a matlab code that solves what is being asked in the computer problem. the two handwriten pages are solutions to help guide you if
write a matlab code that solves what is being asked in the computer problem. the two handwriten pages are solutions to help guide you if you need the help. they are solutions for this exact problem, but solve whatever way works for you, but it must be done in matlab.


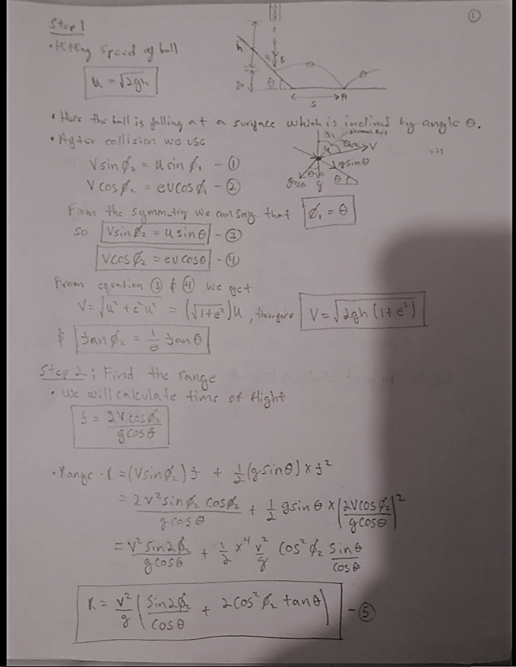
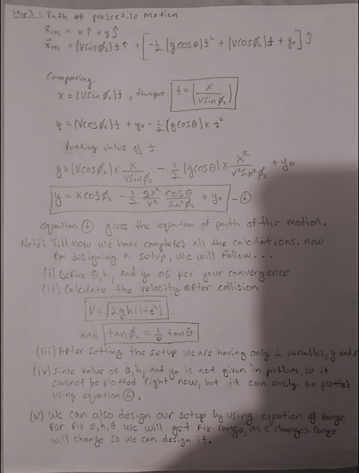
| G ashley Judd . Fiverrgr|Academica | backboard wayne.edu/bbc webdav/pid-645243 dt-content-rid-13725501,2/courses ME 3400 1709 901m e Computer ll e Solve ThisFI e solve This F1 G Google Computer F ] Comp-X + v LTX O Wayne State University US omputer Problem # Design an experimen setup to test properties of 2-lb steel balls that are used in manufactuing of bearings. It is required that only balls with coefficient of restitution e 20.8 pass the test and can be used in the manufacturing process. Also plot the path of motion for a ball i passes the test ii fails the test Hint: each ball is released from rest as shown in Figure and strikes an inclined smooth surface at B Electronic copies will be submitted through blackboard. No hard copies will be accepted. Due Date: 10/29/2017 at 11:59 pm. Everything should be done using computer including, equations, plots, and calculations. 9:04 PM Type here to search 10/27/2017 1
Step by Step Solution
There are 3 Steps involved in it
Get step-by-step solutions from verified subject matter experts
