New Semester
Started
Get
50% OFF
Study Help!
--h --m --s
Claim Now
Question Answers
Textbooks
Find textbooks, questions and answers
Oops, something went wrong!
Change your search query and then try again
S
Books
FREE
Study Help
Expert Questions
Accounting
General Management
Mathematics
Finance
Organizational Behaviour
Law
Physics
Operating System
Management Leadership
Sociology
Programming
Marketing
Database
Computer Network
Economics
Textbooks Solutions
Accounting
Managerial Accounting
Management Leadership
Cost Accounting
Statistics
Business Law
Corporate Finance
Finance
Economics
Auditing
Tutors
Online Tutors
Find a Tutor
Hire a Tutor
Become a Tutor
AI Tutor
AI Study Planner
NEW
Sell Books
Search
Search
Sign In
Register
study help
mathematics
college algebra graphs and models
College Algebra 7th Edition Robert F Blitzer - Solutions
Solve each equation in Exercises 83–108 by the method of your choice. (2x - 5)(x + 1) = 2
If 5 times a number is decreased by 4, the principal square root of this difference is 2 less than the number. Find the number(s).
In Exercises 85–94, find all values of x satisfying the given conditions. 3 y = (x - 5)² and y = 125.
In Exercises 89–96, solve each equation. 512x = 8 7x - [6 ÷ 3(2 +53) + 5x]
In Exercises 85–94, find all values of x satisfying the given conditions. y = (x + 4)2 and y = 8.
In Exercises 89–96, solve each equation. 2³ - [4(53)³] = − 8x -
Solve each equation in Exercises 83–108 by the method of your choice. 2x2 + 3x = 1 +
In Exercises 85–94, find all values of x satisfying the given conditions. y = x² + 4x² = x + 6 and y = 10. -
Exercises 87–89 will help you prepare for the material covered in the next section.Multiply and simplify: (x – 3) 3 + 9). 3 - 3
Solve each equation in Exercises 83–108 by the method of your choice. x²2x = 1
Solve each equation in Exercises 83–108 by the method of your choice. 2x² = 250
In Exercises 89–96, solve each equation. [(3+6)²3].4 = -54x
In Exercises 85–94, find all values of x satisfying the given conditions. y = 2x³ + x² 8x + 2 and y = 6.
Exercises 87–89 will help you prepare for the material covered in the next section.Multiply and simplify: 12 (x + 2 4 X 3 1
In Exercises 85–94, find all values of x satisfying the given conditions. y = x - √x - 2 and y = 4.
Exercises 87–89 will help you prepare for the material covered in the next section.If 6 is substituted for x in the equationis the resulting statement true or false? 2(x 3) 17 = 13 3(x + 2), − - -
Solve each equation in Exercises 83–108 by the method of your choice. 3x² = 60
In Exercises 83–86, select the graph that best illustrates each story.You begin your bike ride by riding down a hill. Then you ride up another hill. Finally, you ride along a level surface before coming to a stop. a. Speed Speed Time Time b. d. Speed Speed Time 3 Time
In Exercises 85–94, find all values of x satisfying the given conditions. y = x + √x + 5 and y = 7.
Solve each equation in Exercises 83–108 by the method of your choice. 5x² = 6 - 13x
In Exercises 85–94, find all values of x satisfying the given conditions. y = 23x and y = 13.
Evaluate x2 - (xy - y) for x satisfying 3(x + 3) / 5 = 2x + 6 and y satisfying -2y - 10 = 5y + 18.
Evaluate x2 - x for the value of x satisfying 2(x - 6) = 3x + 2(2x - 1).
In Exercises 83–86, select the graph that best illustrates each story.Measurements are taken of a person’s height from birth to age 100. a. S Height Height Age Age b. d. Height Height Age Age
Solve each equation in Exercises 83–108 by the method of your choice. 5x² + 2 = 11x
In Exercises 79–84, find the x-intercepts of the graph of each equation. Then use the x-intercepts to match the equation with its graph. [The graphs are labeled (a) through (f).] y = 2(x + 2)² + 5(x + 2) - 3
In Exercises 85–94, find all values of x satisfying the given conditions. y = 54x and y and y = 11.
In Exercises 79–84, find the x-intercepts of the graph of each equation. Then use the x-intercepts to match the equation with its graph. [The graphs are labeled (a) through (f).] y = (x + 2)² 9(x + 2) + 20
In Exercises 83–86, select the graph that best illustrates each story.At noon, you begin to breathe in. Noon Time after Noon Time after FIL Volume of Air in Lungs d. Volume of Air in Lungs Noon Time after Noon Time after a. Volume of ih Air in Lungs b. Volume of Air in Lungs
Solve each equation in Exercises 83–108 by the method of your choice. 3x² - 4x - 4x = 4
In Exercises 83–86, select the graph that best illustrates each story.An airplane flew from Miami to San Francisco. a. نه Plane's Height Plane's Height Seconds after Takeoff Seconds after Takeoff b. d. Plane's Height Plane's Height Seconds after Takeoff Seconds after Takeoff
In Exercises 79–84, find the x-intercepts of the graph of each equation. Then use the x-intercepts to match the equation with its graph. [The graphs are labeled (a) through (f).] y = x2 - x−1 - 6
In Exercises 81–84, use the Y = screen to write the equation being solved. Then use the table to solve the equation. Ploti Plot2 Plot3 NY1E2X-5 NY2E4 (3X+1)-2 NY 3= NY4= NY5= .9 NY6= .8 NY?= -.7 -.6 Y8= -.5 NY9=
Solve each equation in Exercises 83–108 by the method of your choice. 2x² - x = 1
Evaluate x2 - x for the value of x satisfying 4(x - 2) + 2 = 4x - 2(2 - x).
In Exercises 81–84, use the screen to write the equation being solved. Then use the table to solve the equation. Y=
In Exercises 79–82, match the story with the correct figure. The figures are labeled (a), (b), (c), and (d).It snowed softly, and then it stopped. After a short time, the snow started falling hard. Time Time Amount of Snowfall Amount of Snowfall Time Time Amount of Snowfall Amount
In Exercises 79–82, match the story with the correct figure. The figures are labeled (a), (b), (c), and (d).It snowed hard, but then it stopped. After a short time, the snow started falling softly. Time Time Amount of Snowfall Amount of Snowfall d. Time Time Amount of Snowfall Amount
In Exercises 75–82, compute the discriminant. Then determine the number and type of solutions for the given equation. 3x² + 4x2 = 0
In Exercises 79–84, find the x-intercepts of the graph of each equation. Then use the x-intercepts to match the equation with its graph. [The graphs are labeled (a) through (f).] v = x ²³² + 2x³² _ y - 3
In Exercises 81–84, use the screen to write the equation being solved. Then use the table to solve the equation. Y=
In Exercises 81–84, use the Y = screen to write the equation being solved. Then use the table to solve the equation. Ploti Plot2 Plot3 NY1E3(2X-5) NY2E5X+2 NY 3= NY4= X Y₁ Y2 13 NYS= 67 14 72 NY6= 15 16 NY?= 17 Y8= 18 NY9=
In Exercises 75–82, compute the discriminant. Then determine the number and type of solutions for the given equation. x² - 3x - 7 = 0
In Exercises 79–84, find the x-intercepts of the graph of each equation. Then use the x-intercepts to match the equation with its graph. [The graphs are labeled (a) through (f).] y = √x - 4 + √x +4-4
In Exercises 79–82, match the story with the correct figure.The figures are labeled (a), (b), (c), and (d). The snow fell more and more softly. Time Time Amount of Snowfall Amount of Snowfall d. Time Time Amount of Snowfall Amount of Snowfall ી.
Exercises 78–80 will help you prepare for the material covered in the next section.Evaluate for a = 2, b = 9, and c = -5. -b - √b² 2a 4ac
The equations in Exercises 69–80 combine the types of equations we have discussed in this section. Solve each equation. Then state whether the equation is an identity, a conditional equation, or an inconsistent equation. 4 x² + 3x 10 1 x²+x-6 3 x² - x - 12
In Exercises 79–84, find the x-intercepts of the graph of each equation. Then use the x-intercepts to match the equation with its graph. [The graphs are labeled (a) through (f).] y = √x + 2 + √x-1-3
In Exercises 79–82, match the story with the correct figure. The figures are labeled (a), (b), (c), and (d).As the blizzard got worse, the snow fell harder and harder. Time Time Amount of Snowfall Amount of Snowfall d. Time Time Amount of Snowfall Amount of Snowfall ી.
Exercises 78–80 will help you prepare for the material covered in the next section.Factor: x2 - 6x + 9.
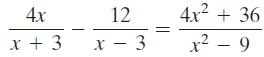
The equations in Exercises 69–80 combine the types of equations we have discussed in this section. Solve each equation. Then state whether the equation is an identity, a conditional equation, or an inconsistent equation. 4x x + 3 12 x - 3 4x² + 36 2 x²9
In Exercises 75–82, compute the discriminant. Then determine the number and type of solutions for the given equation. x²2x + 1 = 0
The equations in Exercises 69–80 combine the types of equations we have discussed in this section. Solve each equation. Then state whether the equation is an identity, a conditional equation, or an inconsistent equation. 1 x - 1 1 (2x+3)(x - 1) 4 2x + 3
In Exercises 75–77, perform the indicated operations and write the result in standard form. 8 1 + 2
In Exercises 75–82, compute the discriminant. Then determine the number and type of solutions for the given equation. 2x² + 11x6 = 0 -
In Exercises 61–78, solve each absolute value equation or indicate that the equation has no solution. |2x - 7기 = x + 3|
The equations in Exercises 69–80 combine the types of equations we have discussed in this section. Solve each equation. Then state whether the equation is an identity, a conditional equation, or an inconsistent equation. 4 x-2 + 3 x + 5 7 (x + 5)(x - 2)
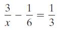
The equations in Exercises 69–80 combine the types of equations we have discussed in this section. Solve each equation. Then state whether the equation is an identity, a conditional equation, or an inconsistent equation. 3 1 6 1 3
In Exercises 75–82, compute the discriminant. Then determine the number and type of solutions for the given equation. 4x²2x + 3 = 0
In Exercises 61–78, solve each absolute value equation or indicate that the equation has no solution. |3x − 1| = |x + 5| -
Exercises 75–77 will help you prepare for the material covered in the next section.Rationalize the denominator: 7+4√2 2-5√2
In Exercises 75–82, compute the discriminant. Then determine the number and type of solutions for the given equation. 2x² 11x + 3 = 0 -
In Exercises 75–77, perform the indicated operations and write the result in standard form. 1 + i 1 + 2i + 1- i 1 - 2i
Exercises 78–80 will help you prepare for the material covered in the next section.Factor: 2x2 + 7x - 4.
In Exercises 75–78, list the quadrant or quadrants satisfying each condition.x3 < 0 and y3 > 0
In Exercises 75–78, list the quadrant or quadrants satisfying each condition.x3 > 0 and y3< 0
In Exercises 61–78, solve each absolute value equation or indicate that the equation has no solution. |3x2 + 4 = 4
In Exercises 75–77, perform the indicated operations and write the result in standard form. 4 (2 + i)(3 - i)
In Exercises 75–78, list the quadrant or quadrants satisfying each condition. y X < 0
The equations in Exercises 69–80 combine the types of equations we have discussed in this section. Solve each equation. Then state whether the equation is an identity, a conditional equation, or an inconsistent equation. 2 X + 1 2 3 4
Exercises 75–77 will help you prepare for the material covered in the next section.Simplify: √18 - √8.
In Exercises 75–82, compute the discriminant. Then determine the number and type of solutions for the given equation. x²4x50
In Exercises 61–78, solve each absolute value equation or indicate that the equation has no solution. |2x 1| + 3 = 3
The equations in Exercises 69–80 combine the types of equations we have discussed in this section. Solve each equation. Then state whether the equation is an identity, a conditional equation, or an inconsistent equation. 2(x + 2) + 2x = 4(x + 1)
In Exercises 71–74, determine whether each statement is true or false. If the statement is false, make the necessary change(s) to produce a true statement. 7 + 5 + 3i 3i 7 5
Exercises 75–77 will help you prepare for the material covered in the next section.Multiply: (7 - 3x)(-2 - 5x).
Solve each equation in Exercises 65–74 using the quadratic formula. x²2x + 17 = 0
The equations in Exercises 69–80 combine the types of equations we have discussed in this section. Solve each equation. Then state whether the equation is an identity, a conditional equation, or an inconsistent equation. 8x (3x + 2) + 10 = 3x -
In Exercises 61–78, solve each absolute value equation or indicate that the equation has no solution. |x + 1| + 6 = 2
Solve for C: V=C- C-S L -N.
In Exercises 61–78, solve each absolute value equation or indicate that the equation has no solution. |x + 1 + 5 = 3
In Exercises 75–78, list the quadrant or quadrants satisfying each condition.xy > 0
Solve each equation in Exercises 65–74 using the quadratic formula. x² - 6x + 10 = 0
In Exercises 71–74, determine whether each statement is true or false. If the statement is false, make the necessary change(s) to produce a true statement.In the complex number system, x2 + y2 (the sum of two squares) can be factored as (x + yi)(x - yi).
In Exercises 61–78, solve each absolute value equation or indicate that the equation has no solution. 41 3 4 x + 7 = 10
One of the best ways to learn how to solve a word problem in algebra is to design word problems of your own. Creating a word problem makes you very aware of precisely how much information is needed to solve the problem. You must also focus on the best way to present information to a reader and on
The equations in Exercises 69–80 combine the types of equations we have discussed in this section. Solve each equation. Then state whether the equation is an identity, a conditional equation, or an inconsistent equation. 6 x + 3 +2= -2x x + 3
In Exercises 71–74, determine whether each statement is true or false. If the statement is false, make the necessary change(s) to produce a true statement.The ordered pair (2, 5) satisfies 3y - 2x = -4.
In Exercises 61–78, solve each absolute value equation or indicate that the equation has no solution. 7|3x + 2 = 16
In Exercises 61–78, solve each absolute value equation or indicate that the equation has no solution. 24 5 2 -x+6= 18
In Exercises 61–78, solve each absolute value equation or indicate that the equation has no solution. 7|5x| + 2 = 16
A thief steals a number of rare plants from a nursery. On the way out, the thief meets three security guards, one after another. To each security guard, the thief is forced to give one-half the plants that he still has, plus 2 more. Finally, the thief leaves the nursery with 1 lone palm. How many
In Exercises 61–78, solve each absolute value equation or indicate that the equation has no solution. 3|2x - 1 = 21
In Exercises 71–74, determine whether each statement is true or false. If the statement is false, make the necessary change(s) to produce a true statement.If a point is on the y-axis, its x-coordinate must be 0.
In Exercises 61–78, solve each absolute value equation or indicate that the equation has no solution. |x + 1| = 5
In Exercises 61–78, solve each absolute value equation or indicate that the equation has no solution. 2|3x - 2 = 14
In Exercises 61–78, solve each absolute value equation or indicate that the equation has no solution. |2x - 3 = 11
In Exercises 61–78, solve each absolute value equation or indicate that the equation has no solution. |x2| = 7
In Exercises 61–78, solve each absolute value equation or indicate that the equation has no solution. |2x - 1 = 5
In Exercises 71–74, determine whether each statement is true or false. If the statement is false, make the necessary change(s) to produce a true statement.(3 + 7i)(3 - 7i) is an imaginary number.
Showing 12800 - 12900
of 13634
First
122
123
124
125
126
127
128
129
130
131
132
133
134
135
136
Last
Step by Step Answers