New Semester
Started
Get
50% OFF
Study Help!
--h --m --s
Claim Now
Question Answers
Textbooks
Find textbooks, questions and answers
Oops, something went wrong!
Change your search query and then try again
S
Books
FREE
Study Help
Expert Questions
Accounting
General Management
Mathematics
Finance
Organizational Behaviour
Law
Physics
Operating System
Management Leadership
Sociology
Programming
Marketing
Database
Computer Network
Economics
Textbooks Solutions
Accounting
Managerial Accounting
Management Leadership
Cost Accounting
Statistics
Business Law
Corporate Finance
Finance
Economics
Auditing
Tutors
Online Tutors
Find a Tutor
Hire a Tutor
Become a Tutor
AI Tutor
AI Study Planner
NEW
Sell Books
Search
Search
Sign In
Register
study help
mathematics
college algebra graphs and models
College Algebra 7th Edition Robert F Blitzer - Solutions
In Exercises 71–74, determine whether each statement is true or false. If the statement is false, make the necessary change(s) to produce a true statement.If a point is on the x-axis, it is neither up nor down, so x = 0.
In Exercises 61–78, solve each absolute value equation or indicate that the equation has no solution. |x| = 6
Solve each equation in Exercises 41–60 by making an appropriate substitution. (x² - 2x)² - 11(x² - 2x) + 24 = 0
In Exercises 61–78, solve each absolute value equation or indicate that the equation has no solution. X = 8 =
Solve each equation in Exercises 41–60 by making an appropriate substitution. (x - 10)² + (x - 10) y 6 y - 27 = 0
The mathematician Girolamo Cardano is credited with the first use (in 1545) of negative square roots in solving the now-famous problem, “Find two numbers whose sum is 10 and whose product is 40.” Show that the complex numberssatisfy the conditions of the problem. (Cardano did not use the
Solve each equation in Exercises 41–60 by making an appropriate substitution. 2 8 (x - $ )² + (x - ) - ¹ 5 y У - 14 = 0
Solve each equation in Exercises 41–60 by making an appropriate substitution. (x² − x)² - 14(x² − x) + 24 = 0 - -
Solve each equation in Exercises 41–60 by making an appropriate substitution. x + 3x² 4 = 0
Solve each equation in Exercises 41–60 by making an appropriate substitution. (x + 3)² + 7(x + 3) - 18 = 0
Solve each equation in Exercises 41–60 by making an appropriate substitution. (x - 5)² - 4(x - 5) 210
Solve each equation in Exercises 41–60 by making an appropriate substitution. 2x - 3x² + 1 = 0
Solve each equation in Exercises 41–60 by making an appropriate substitution. 09-cx + =
Solve each equation in Exercises 41–60 by making an appropriate substitution. 3 334 2x4 + 1 = 0
Solve each equation in Exercises 41–60 by making an appropriate substitution. 1 2 2x37x3 15 = 0
Solve each equation in Exercises 41–60 by making an appropriate substitution. x-2x¹20 = 0
Solve each equation in Exercises 41–60 by making an appropriate substitution. 0=9- er + نا دیا
Solve each equation in Exercises 41–60 by making an appropriate substitution. X 0=91-*-7-x
Solve each equation in Exercises 41–60 by making an appropriate substitution. 2x - 7√x - 30 = 0
Solve each equation in Exercises 41–60 by making an appropriate substitution. x4 13x² + 36 = 0
Solve each equation in Exercises 41–60 by making an appropriate substitution. x 13√x + 40 = 0
Solve each equation with rational exponents in Exercises 31–40. Check all proposed solutions. 3 (x²-3x + 3)2-1=0
Solve each equation in Exercises 41–60 by making an appropriate substitution. 4x4 = 13x²9
Solve each equation in Exercises 41–60 by making an appropriate substitution. 9x4 = 25x² - 16
Solve each equation with rational exponents in Exercises 31–40. Check all proposed solutions. (x-4) 2/3 = 16
Solve each equation in Exercises 41–60 by making an appropriate substitution. x45x² + 4 = 0
Solve each equation with rational exponents in Exercises 31–40. Check all proposed solutions. लाच (x² − x − 4)4 - 2 = 6
Solve each equation with rational exponents in Exercises 31–40. Check all proposed solutions. 3 (x + 5)² = 8 =
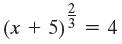
Solve each equation with rational exponents in Exercises 31–40. Check all proposed solutions. (x + 5) Nim = 4
Solve each equation with rational exponents in Exercises 31–40. Check all proposed solutions. (x 4)² = 27
Solve each equation with rational exponents in Exercises 31–40. Check all proposed solutions. 53 8x³ - - 24 = 0
Solve each equation with rational exponents in Exercises 31–40. Check all proposed solutions. wle 6х 5 - 12 = 0
Solve each equation with rational exponents in Exercises 31–40. Check all proposed solutions. x² = 27
Solve each equation with rational exponents in Exercises 31–40. Check all proposed solutions. N/W X = 8
Solve for f1: f = fif₂ f₁ + f₂
Solve each radical equation in Exercises 11–30. Check all proposed solutions. V1 + 4√x = 1 + √x Vx
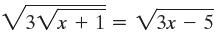
Solve each radical equation in Exercises 11–30. Check all proposed solutions. √3√x + 1 = √3x - 5
Solve each radical equation in Exercises 11–30. Check all proposed solutions. √2x - 3√x - 2 = 1
Solve each radical equation in Exercises 11–30. Check all proposed solutions. V2x + 3 + √x - 2 = 2
Solve each radical equation in Exercises 11–30. Check all proposed solutions. √x + 2 + √3x + 7 = 1
When the sum of 1 and twice a negative number is subtracted from twice the square of the number, 0 results. Find the number.
When the sum of 6 and twice a positive number is subtracted from the square of the number, 0 results. Find the number.
In Exercises 116–119, use your graphing utility to enter each side of the equation separately under y1 and y2. Then use the utility’s TABLE or GRAPH feature to solve the equation. 2x - 1 3 x - 5 6 || x - 3 4
Exercises 177–179 will help you prepare for the material covered in the next section.Use the special product (A + B)2 = A2 + 2AB + B2 to multiply: (√x + 4 + 1)².
Exercises 177–179 will help you prepare for the material covered in the next section.If -8 is substituted for x in the equation is the resulting statement true or false? 5x³ + 11x³ + 2 = 0,
Exercises 177–179 will help you prepare for the material covered in the next section.Factor completely: x3 + x2 - 4x - 4.
A rectangular swimming pool is 12 meters long and 8 meters wide. A tile border of uniform width is to be built around the pool using 120 square meters of tile. The tile is from a discontinued stock (so no additional materials are available) and all 120 square meters are to be used. How wide should
Solve for t: s = -16t2 + v0t.
Write a quadratic equation in general form whose solution set is {-3, 5}.
In Exercises 170–173, determine whether each statement is true or false. If the statement is false, make the necessary change(s) to produce a true statement.The equation (2x - 3)2 = 25 is equivalent to 2x - 3 = 5.
In Exercises 170–173, determine whether each statement is true or false. If the statement is false, make the necessary change(s) to produce a true statement.In using the quadratic formula to solve the quadratic equation 5x2 = 2x - 7, we have a = 5, b = 2, and c = -7.
In Exercises 170–173, determine whether each statement is true or false. If the statement is false, make the necessary change(s) to produce a true statement.Any quadratic equation that can be solved by completing the square can be solved by the quadratic formula.
In Exercises 170–173, determine whether each statement is true or false. If the statement is false, make the necessary change(s) to produce a true statement.The quadratic formula is developed by applying factoring and the zero-product principle to the quadratic equation ax2 + bx + c = 0.
In Exercises 166–169, determine whether each statement makes sense or does not make sense, and explain your reasoning.When I use the square root property to determine the length of a right triangle’s side, I don’t even bother to list the negative square root.The equation (2x - 3)2 = 25 is
In Exercises 166–169, determine whether each statement makes sense or does not make sense, and explain your reasoning.I obtained -17 for the discriminant, so there are two imaginary irrational solutions.
In Exercises 166–169, determine whether each statement makes sense or does not make sense, and explain your reasoning.I’m looking at a graph with one x-intercept, so it must be the graph of a linear equation.
A piece of wire is 8 inches long. The wire is cut into two pieces and then each piece is bent into a square. Find the length of each piece if the sum of the areas of these squares is to be 2 square inches. X 4 cut 8 inches 8-x 4 + -8-x- 8-x 4
If a quadratic equation has imaginary solutions, how is this shown on the graph of y = ax2 + bx + c?
In Exercises 166–169, determine whether each statement makes sense or does not make sense, and explain your reasoning.Because I want to solve 25x2 - 169 = 0 fairly quickly, I’ll use the quadratic formula.
Describe the relationship between the real solutions of ax2 + bx + c = 0 and the graph of y = ax2 + bx + c.
If you are given a quadratic equation, how do you determine which method to use to solve it?
Use the Pythagorean Theorem and the square root property to solve Exercises 139–143. Express answers in simplified radical form. Then find a decimal approximation to the nearest tenth.a. A wheelchair ramp with a length of 122 inches has a horizontal distance of 120 inches. What is the ramp’s
A rain gutter is made from sheets of aluminum that are 20 inches wide. As shown in the figure, the edges are turned up to form right angles. Determine the depth of the gutter that will allow a cross-sectional area of 13 square inches. Show that there are two different solutions to the problem.
A pool measuring 10 meters by 20 meters is surrounded by a path of uniform width, as shown in the figure below. If the area of the pool and the path combined is 600 square meters, what is the width of the path? x 10 X 20 20 + 2x 10 + 2x
A machine produces open boxes using square sheets of metal. The figure illustrates that the machine cuts equal sized squares measuring 2 inches on a side from the corners and then shapes the metal into an open box by turning up the sides. If each box must have a volume of 200 cubic inches, find the
A vacant rectangular lot is being turned into a community vegetable garden measuring 15 meters by 12 meters. A path of uniform width is to surround the garden, as shown in the figure. If the area of the garden and path combined is 378 square meters, find the width of the path. 15 12
An isosceles right triangle has legs that are the same length and acute angles each measuring 45°.a. Write an expression in terms of a that represents the length of the hypotenuse.b. Use your result from part (a) to write a sentence that describes the length of the hypotenuse of an isosceles right
What is the discriminant and what information does it provide about a quadratic equation?
How is the quadratic formula derived?
Explain how to solve x2 + 6x + 8 = 0 by completing the square.
Explain how to solve x2 + 6x + 8 = 0 using the quadratic formula.
Use the Pythagorean Theorem and the square root property to solve Exercises 139–143. Express answers in simplified radical form. Then find a decimal approximation to the nearest tenth.A baseball diamond is actually a square with 90-foot sides. What is the distance from home plate to second
Explain how to solve x2 + 6x + 8 = 0 using factoring and the zero-product principle.
Use the Pythagorean Theorem and the square root property to solve Exercises 139–143. Express answers in simplified radical form. Then find a decimal approximation to the nearest tenth.The base of a 30-foot ladder is 10 feet from a building. If the ladder reaches the flat roof, how tall is the
What is a quadratic equation?
Use the Pythagorean Theorem and the square root property to solve Exercises 139–143. Express answers in simplified radical form. Then find a decimal approximation to the nearest tenth.A rectangular park is 6 miles long and 3 miles wide. How long is a pedestrian route that runs diagonally across
Use the Pythagorean Theorem and the square root property to solve Exercises 139–143. Express answers in simplified radical form. Then find a decimal approximation to the nearest tenth.A rectangular park is 4 miles long and 2 miles wide. How long is a pedestrian route that runs diagonally across
A machine produces open boxes using square sheets of metal. The machine cuts equal-sized squares measuring 3 inches on a side from the corners and then shapes the metal into an open box by turning up the sides. If each box must have a volume of 75 cubic inches, find the length and width of the open
In Exercises 137–138, an athlete whose event is the shot put releases the shot with the same initial velocity, but at different angles.When the shot is released at an angle of 35°, its path can be modeled by the formulain which x is the shot’s horizontal distance, in feet, and y is its height,
In Exercises 137–138, an athlete whose event is the shot put releases the shot with the same initial velocity, but at different angles.When the shot is released at an angle of 65°, its path can be modeled by the formulain which x is the shot’s horizontal distance, in feet, and y is its height,
What age groups are expected to be involved in 10 fatal crashes per 100 million miles driven? How well does the formula model the trend in the actual data shown in the bar graph?A driver’s age has something to do with his or her chance of getting into a fatal car crash. The bar graph shows the
The graph of the formula in Exercises 131–132 is shown. Use the graph to solve Exercises 133–134.Identify your solution to Exercise 132 as a point on the graph.Data from exercise 132In a round-robin chess tournament, 36 games were played. How many players were entered in the tournament? N
What age groups are expected to be involved in 3 fatal crashes per 100 million miles driven? How well does the formula model the trend in the actual data shown in the bar graph?A driver’s age has something to do with his or her chance of getting into a fatal car crash. The bar graph shows the
Each side of a square is lengthened by 2 inches. The area of this new, larger square is 36 square inches. Find the length of a side of the original square.
Each side of a square is lengthened by 3 inches. The area of this new, larger square is 64 square inches. Find the length of a side of the original square.
The length of a rectangular sign is 3 feet longer than the width. If the sign’s area is 54 square feet, find its length and width.
A rectangular parking lot has a length that is 3 yards greater than the width. The area of the parking lot is 180 square yards. Find the length and the width.
The graph of the formula in Exercises 131–132 is shown. Use the graph to solve Exercises 133–134.Identify your solution to Exercise 131 as a point on the graph.Data from exercise 131In a round-robin chess tournament, 21 games were played. How many players were entered in the tournament? N
In Exercises 127–130, solve each equation by the method of your choice. √3x² + 6x +7√3=0
In a round-robin chess tournament, each player is paired with every other player once. The formulamodels the number of chess games, N, that must be played in a round-robin tournament with x chess players. Use this formula to solve Exercises 131–132.In a round-robin chess tournament, 21 games were
In a round-robin chess tournament, each player is paired with every other player once. The formulamodels the number of chess games, N, that must be played in a round-robin tournament with x chess players. Use this formula to solve Exercises 131–132.In a round-robin chess tournament, 36 games were
Find b such that has a solution set given by {-6}. 7x + 4 b + 13 = x
Exercises 131–133 will help you prepare for the material covered in the next section.Jane’s salary exceeds Jim’s by $150 per week. If x represents Jim’s weekly salary, write an algebraic expression that models Jane’s weekly salary.
Exercises 131–133 will help you prepare for the material covered in the next section.Jane’s salary exceeds Jim’s by $150 per week. If x represents Jim’s weekly salary, write an algebraic expression that models Jane’s weekly salary.
Exercises 131–133 will help you prepare for the material covered in the next section.Jane’s salary exceeds Jim’s by $150 per week. If x represents Jim’s weekly salary, write an algebraic expression that models Jane’s weekly salary.
In Exercises 127–130, solve each equation by the method of your choice. √2x² + 3x - 2√2 = 0
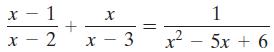
In Exercises 127–130, solve each equation by the method of your choice. x - 1 x - 2 + X x - 3 || x² 2 1 5x+6
In Exercises 115–122, find all values of x satisfying the given conditions. Y1 3 x-1²1/2 8 and y₁ + y₂ = 3. y2
In Exercises 115–122, find all values of x satisfying the given conditions. У1 2x x + 2' ₂ 3 x + 4' and y₁+ y2 = 1.
In Exercises 115–122, find all values of x satisfying the given conditions. y₁ = x² + 4x − 2₁ y₂ = −3x² + x − 1, and - 2, 12 - J1 — Jz = 0.
Showing 12900 - 13000
of 13634
First
123
124
125
126
127
128
129
130
131
132
133
134
135
136
137
Step by Step Answers