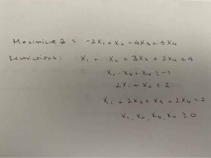
Question: a) Rephrase this problem (except for the equality constraint) to fit our standard form of linear programming model. b) Using the big m method, construct
a) Rephrase this problem (except for the equality constraint) to fit our standard form of linear programming model.
b) Using the "big m" method, construct the first simplex tableau for the simple method and identify the corresponding initial (artificial) basic feasible solution. Also identify the initial basic variable that goes in and the basic variable that goes out
Step by Step Solution
There are 3 Steps involved in it
1 Expert Approved Answer
Step: 1 Unlock
Question Has Been Solved by an Expert!
Get step-by-step solutions from verified subject matter experts
Step: 2 Unlock
Step: 3 Unlock
