General Management Questions and Answers December 14, 2012

Expert-verified solutions to help you succeed

Showing 500 - 600 of 1505
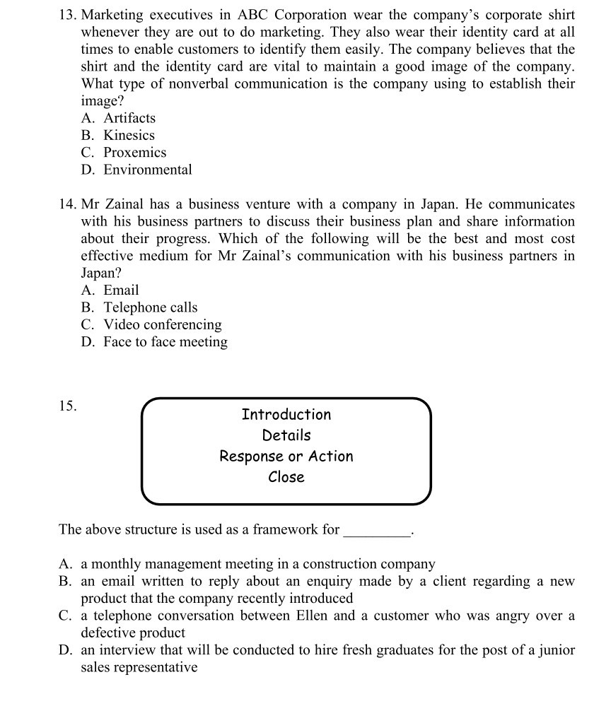
  • 6 / 16