Databases Questions and Answers May 20, 2020

Expert-verified solutions to help you succeed

Showing 1400 - 1500 of 1502
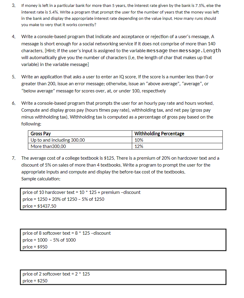
  • 15 / 16