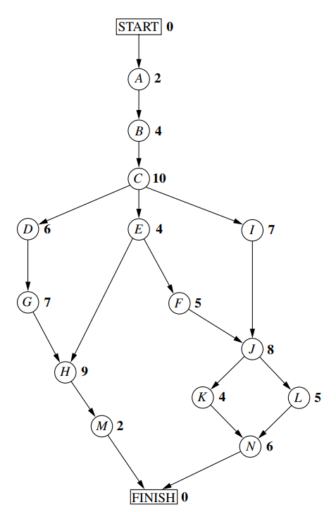
Question: Find LS and LF for each activity The latest start time for an activity is the latest possible time that it can start with- out



Find LS and LF for each activity
The latest start time for an activity is the latest possible time that it can start with- out delaying the completion of the project (so the FINISH node still is reached at its earliest finish time), assuming no subsequent delays in the project. The latest finish time has the corresponding definition with respect to finishing the activity. In symbols, LS = latest start time for a particular activity, LF = latest finish time for a particular activity, where LS = LF - (estimated) duration of the activity. To find LF, we have the following rule. Latest Finish Time Rule The latest finish time of an activity is equal to the smallest of the latest start times of its imme- diate successors. In symbols, LF = smallest LS of the immediate successors. START O A 2 B) 4 10 D E 4 17 G7 F 5 J 8 H9 K4 L) 5 M2 N 6 FINISHO TABLE 10.1 Activity list for the Reliable Construction Co. project Immediate Activity Activity Description Predecessors Estimated Duration mono B C D E F G H 1 j K Excavate Lay the foundation Put up the rough wall Put up the roof Install the exterior plumbing Install the interior plumbing Put up the exterior siding Do the exterior painting Do the electrical work Put up the wallboard Install the flooring Do the interior painting Install the exterior fixtures Install the interior fixtures B C E D E, G C F, 2 weeks 4 weeks 10 weeks 6 weeks 4 weeks 5 weeks 7 weeks 9 weeks 7 weeks 8 weeks 4 weeks 5 weeks 2 weeks 6 weeks zar M N H K, LStep by Step Solution
There are 3 Steps involved in it
1 Expert Approved Answer
Step: 1 Unlock
Question Has Been Solved by an Expert!
Get step-by-step solutions from verified subject matter experts
Step: 2 Unlock
Step: 3 Unlock
