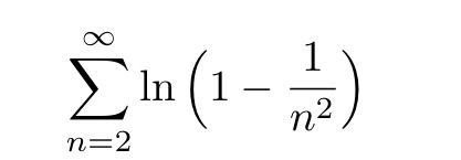
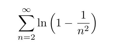
Question: I'm having a hard time with this calc 2 problem.. Can you please provide me a really detailed steps on how to find the sum

 I'm having a hard time with this calc 2 problem.. Can

I'm having a hard time with this calc 2 problem.. Can you please provide me a really detailed steps on how to find the sum of the series? It says I may use properties of logs to write the summand as the sum of 3 logs.

you please provide me a really detailed steps on how to find

OO In n 2 n=2

Step by Step Solution

There are 3 Steps involved in it

1 Expert Approved Answer
Step: 1 Unlock blur-text-image
Question Has Been Solved by an Expert!

Get step-by-step solutions from verified subject matter experts

Step: 2 Unlock
Step: 3 Unlock

Students Have Also Explored These Related Mathematics Questions!