Question: I'm having a hard time with this calc 2 problem.. Can you please provide me a really detailed steps on how to find the sum

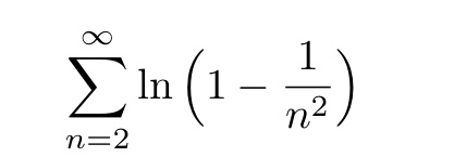
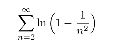
I'm having a hard time with this calc 2 problem.. Can you please provide me a really detailed steps on how to find the sum of the series? It says I may use properties of logs to write the summand as the sum of 3 logs.

OO In n 2 n=2
Step by Step Solution
There are 3 Steps involved in it
Get step-by-step solutions from verified subject matter experts
