Question: Match the structures A-E with the most accurate description from the options provided. A A. potent inhibitor of mannosidase B B. Sialoside (glycoside of sialic

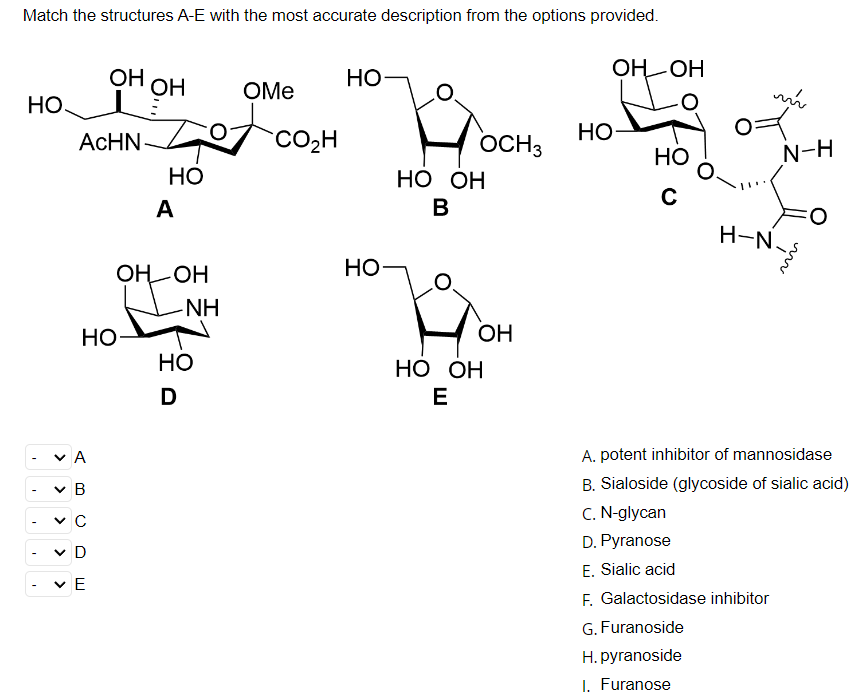
Match the structures A-E with the most accurate description from the options provided. A A. potent inhibitor of mannosidase B B. Sialoside (glycoside of sialic acid) C. N-glycan D. Pyranose E. Sialic acid F. Galactosidase inhibitor G. Furanoside H. pyranoside I. Furanose
Step by Step Solution
There are 3 Steps involved in it
Get step-by-step solutions from verified subject matter experts
