Question: Question 1 (0.5 points) Saving... Listen Select the metric prefixes that are correct, more than one answer may be possible. log = 10-g V 109




















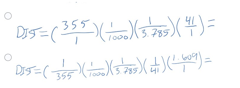
Question 1 (0.5 points) Saving... Listen Select the metric prefixes that are correct, more than one answer may be possible. log = 10-g V 109 nm = 1 m 10-bug = 1g 106 micrograms= 1 g V 10 's= 1 msQuestion 2 (0.5 points) Saving... Listen Select the metric prefixes that are correct, more than one answer may be possible. 10 s= 1 us 10"'s= 1 microsecond V 109 m= 1Gm 10* nm = 1 m 1g= 106 MgQuestion 3 (0.5 points) Listen Select the metric prefixes that are correct, more than one answer may be possible. 10-3 amp= 1 u amp 10' amps= 1 micro amp 109 mm = 1 m 109 m= 1 Gm 1 dL = 10' LQuestion 4 (0.5 points) Saving... Listen Select the metric prefixes that are correct, more than one answer may be possible. 1 ml = 10-2 L 106 m = 1 Mm 10-6 Mg= 1g O 109 m= 1umUse the example of problem analysis below to help you answer the the questions. The Honda Insight, a hybrid electric vehicie, has an EPA gas mileage rating of41 mifgal in the city. How man's.r kilometers can the Insight travel on the amount of gasoline that would fit in a soda can? The volume of a soda can is 355 mL. Question 1 (0.25 points} E '13 Listen F Question 1 (0.25 points) Listen The picture gives an accurate analysis of the word problem? O True O FalseQuestion 2 (0.5 points) Listen Which choice below gives the correct solution to the example (NOTE units have been removed, but you should not leave them out!). You must use the conversion factors found here: Periodic Table and Conversion Factors O DIS = 355 ) ( 3. 785 ) ( 41 ) ( 1 609 ) = 1000 O DIS = ( 355 1000 ( 3. 785 ) ( 4! ) =O DIS = 1 355 ( +00 ) ( 3 785 ) ( 4 )- - DIS = ( 1. 609 355 1000 )( 3. 785) ( 4)(Question 3 (0.25 points) Listen How many significant figures should be in your answer to the example question? Oo O 1 O2 0 3Question 4 (1 point) eu The Hyundai Ioniq, a hybrid electric vehicle, has an EPA gas mileage rating of 55 mifgal in the city. How many kilometers can the Insight travel on the amount of gasoline that would fit in 2.00 L bottle. Your Answer: _:l Answer units
Step by Step Solution
There are 3 Steps involved in it
Get step-by-step solutions from verified subject matter experts
