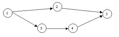
Question: Question 4 options: TIMES (days) Activity Start Node Finish Node OPTIMISTIC t o MOST LIKELY t m PESSIMISTIC t p A 1 2 25 34
Question 4 options:

|
|
|
|
| TIMES (days) |
|
| Activity | Start Node | Finish Node | OPTIMISTIC to | MOST LIKELY tm | PESSIMISTIC tp |
| A | 1 | 2 | 25 | 34 | 61 |
| B | 1 | 3 | 17 | 23 | 35 |
| C | 2 | 5 | 17 | 29 | 65 |
| D | 3 | 4 | 25 | 37 | 61 |
| E | 4 | 5 | 8 | 20 | 44 |
Given the Activity on Arrow Diagram and the data found in the table above, calculate each of the following values: Activity Ate = 37
Standard Deviation = 6
Activity Bte =
Standard Deviation =
Activity Cte =
Standard Deviation =
Activity Dte =
Standard Deviation =
Activity Ete =
Standard Deviation = 6 Path 1 2 5 Mean Time =
Standard Deviation =10 Path 1 3 4 5 Mean Time =
Standard Deviation =
2 3
Step by Step Solution
There are 3 Steps involved in it
Get step-by-step solutions from verified subject matter experts
