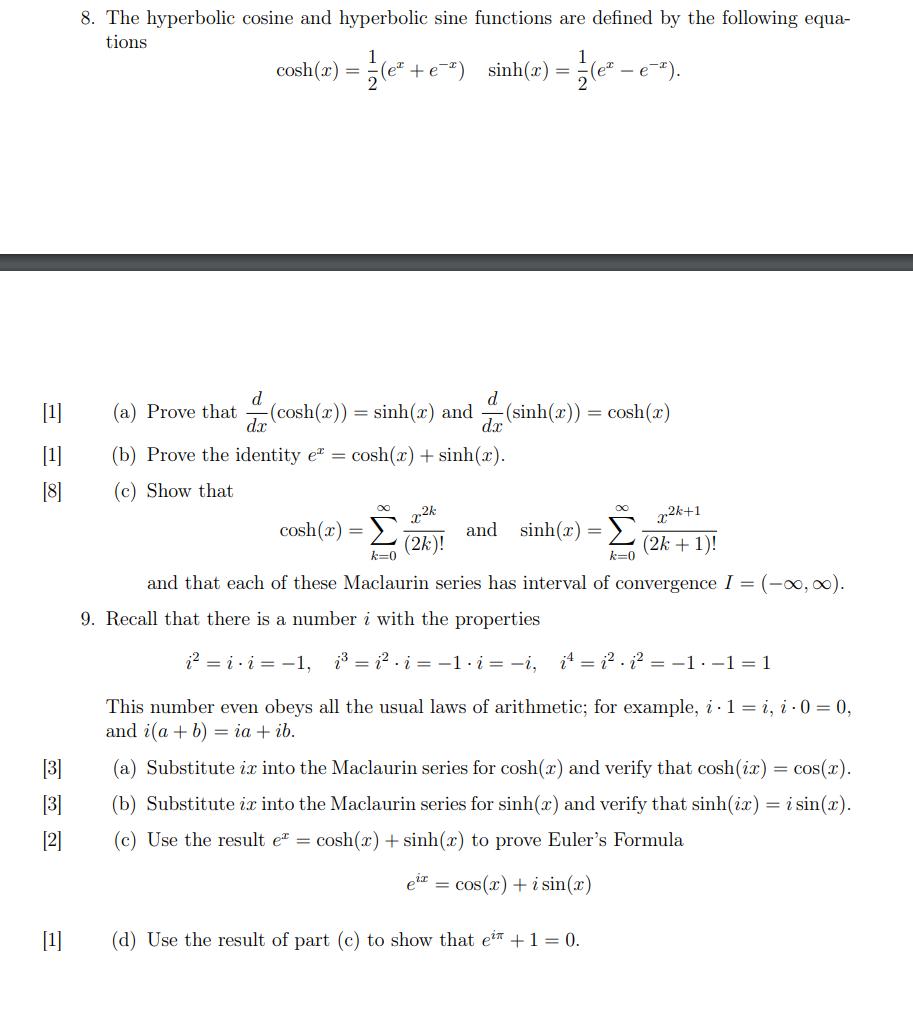
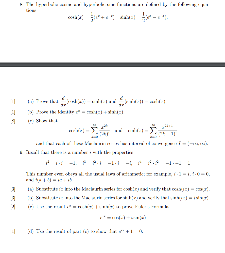
Mathematics Questions and Answers August 20, 2019

Expert-verified solutions to help you succeed

Showing 1200 - 1300 of 1503
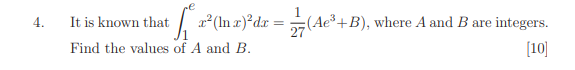
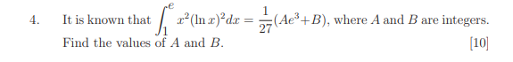
  • 13 / 16