Mathematics Questions and Answers August 30, 2020

Expert-verified solutions to help you succeed

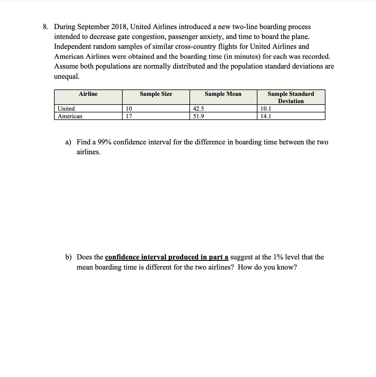
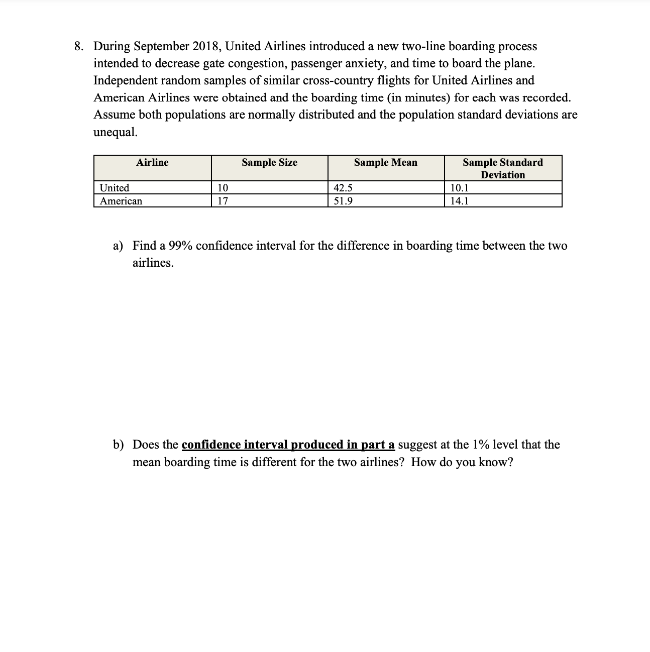
Showing 1200 - 1300 of 1501
  • 13 / 16