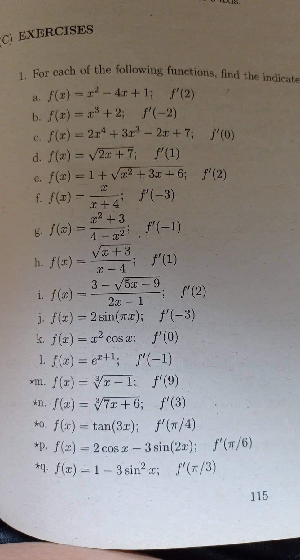
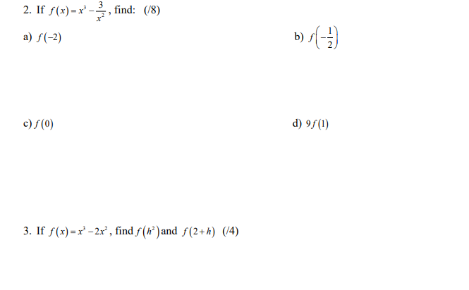
Mathematics Questions and Answers February 09, 2020

Expert-verified solutions to help you succeed

Showing 1200 - 1300 of 1500
  • 13 / 15