Mathematics Questions and Answers August 24, 2022

Expert-verified solutions to help you succeed

Showing 1 - 100 of 1500
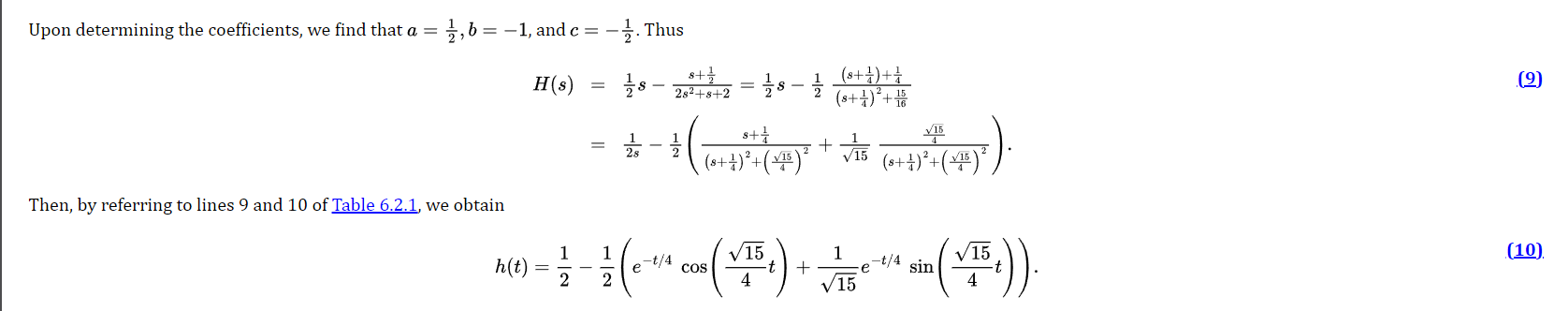
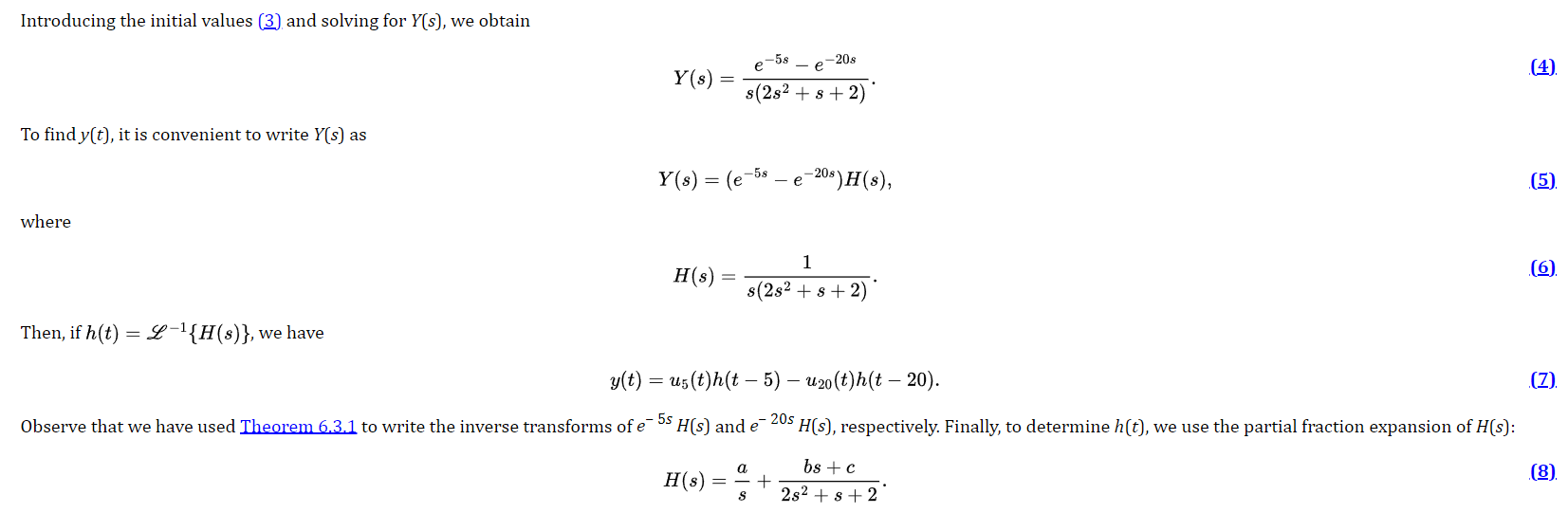
  • 1 / 15